Last update :
27/04/2026
Antibiotic   Tobramycin sulfate  
injection
aerosol Eye-drops Oral solution
Stability in solutions Stability of mixtures Factors which affect stability Compatibility Route of administration References pdf
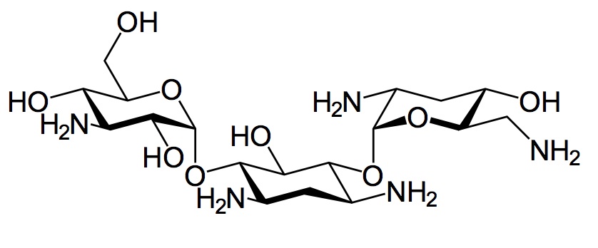
   Chemical structure  

Tradename   Tradename     

Trade names are indicative and excipients composition can be different depending on the country and manufacturers

Bactob India
Beltob India
Bramicil Italy
Brulamycin Hungary, Malaysia, Slovenia
Eltol India
Fytobra India
Gernebcin Germany
Komitob India
Nebcin Egypt, Great Britain, Greece, New Zealand, Saudi Arabia, United Arab Emirates
Nebcina Denmark, Morocco, Norway, Sweden
Nebcine France, Morocco, Slovenia
Nebicina Italy
Obracin Belgium, Luxembourg, Netherlands, Switzerland
Tobracin Brazil, Egypt, Saudi Arabia
Tobramicina Argentina, Brazil, Chile, Colombia, Ecuador, Italy, Portugal, Spain
Tobramina Brazil
Tobramycin Australia, Canada, Germany, Great Britain, Ireland, Norway, Saudi Arabia, United States of America
Tobramycine France, Ireland, Netherlands
Tobrasix Austria
Tobrazid Germany
Stability of mixtures   injection   Stability of mixtures : Tobramycin sulfate     
Container Solvent Concentration Compound Temperature Storage Duration of stability References
Glass Glucose 5% 3,2 mg/ml
injection   Tobramycin sulfate   
injection   Filgrastim 40 µg/ml
25°C
4 Hour
Not specified 104
Level of evidence B
Glass None 0,8 mg/ml
injection   Tobramycin sulfate   
injection   Ofloxacin 2 mg/ml
25°C
48 Hour
Not specified 889
Level of evidence D
Polyvinyl chloride Sodium chloride 0,9% 1,2 mg/ml
injection   Tobramycin sulfate   
injection   Clindamycin phosphate 9 mg/ml
-20°C
28 Day
Protect from light 565
Level of evidence D
Polyvinyl chloride Sodium chloride 0,9% 1 mg/ml
injection   Tobramycin sulfate   
injection   Ciprofloxacin lactate 1,5 mg/ml
25°C
48 Hour
Light 434
Polyvinyl chloride Sodium chloride 0,9% 0,2 & 0,8 mg/ml
injection   Tobramycin sulfate   
injection   Aztreonam 10 & 20 mg/ml
25°C
48 Hour
Not specified 19
Level of evidence D
Polyvinyl chloride Sodium chloride 0,9% 0,2 mg/ml
injection   Tobramycin sulfate   
injection   Aztreonam 10 & 20 mg/ml
4°C
7 Day
Protect from light 19
Level of evidence D
Polyvinyl chloride Sodium chloride 0,9% 0,2 & 0,8 mg/ml
injection   Tobramycin sulfate   
injection   Aztreonam 10 & 20 mg/ml
4°C
7 Day
Protect from light 19
Level of evidence D
Polyvinyl chloride Sodium chloride 0,9% 1 mg/ml
injection   Tobramycin sulfate   
injection   Ciprofloxacin lactate 1,5 mg/ml
4°C
48 Hour
Protect from light 434
Polyvinyl chloride Glucose 5% 1,2 mg/ml
injection   Tobramycin sulfate   
injection   Clindamycin phosphate 9 mg/ml
-20°C
14 Day
Protect from light 565
Level of evidence D
Polyvinyl chloride Glucose 5% 1 mg/ml
injection   Tobramycin sulfate   
injection   Ciprofloxacin lactate 1,5 mg/ml
25°C
48 Hour
Light 434
Polyvinyl chloride Glucose 5% 0,2 & 0,8 mg/ml
injection   Tobramycin sulfate   
injection   Aztreonam 10 & 20 mg/ml
25°C
48 Hour
Not specified 19
Level of evidence D
Polyvinyl chloride Glucose 5% 0,2 mg/ml
injection   Tobramycin sulfate   
injection   Aztreonam 10 & 20 mg/ml
4°C
7 Day
Protect from light 19
Level of evidence D
Polyvinyl chloride Glucose 5% 0,2 & 0,8 mg/ml
injection   Tobramycin sulfate   
injection   Aztreonam 10 & 20 mg/ml
4°C
7 Day
Protect from light 19
Level of evidence D
Polyvinyl chloride Glucose 5% 1 mg/ml
injection   Tobramycin sulfate   
injection   Ciprofloxacin lactate 1,5 mg/ml
4°C
48 Hour
Protect from light 434
Polyvinyl chloride Dianéal® PD2 2.5% glucose (Baxter) 0,008 mg/ml
injection   Tobramycin sulfate   
injection   Ceftazidime 0,125 mg/ml
24°C
16 Hour
Not specified 2369
Level of evidence B
Polyvinyl chloride Dianéal® PD2 2.5% glucose (Baxter) 0,008 mg/ml
injection   Tobramycin sulfate   
injection   Ceftazidime 0,125 mg/ml
37°C
8 Hour
Not specified 2369
Level of evidence B
Polyolefine None 0,80 mg/ml
injection   Tobramycin sulfate   
injection   Linezolid 1,80 mg/ml
23°C
1 Day
Protect from light 2353
Level of evidence B+
Polyolefine None 0,80 mg/ml
injection   Tobramycin sulfate   
injection   Linezolid 1,80 mg/ml
4°C
7 Day
Protect from light 2353
Level of evidence B+

  Mentions Légales