Ostatnia aktualizacja :
27/04/2026
Antybiotyk   Tobramycin sulfate  
Injekcje
Aerozol Krople oczne Roztwór doustny
Trwałość roztworów Trwałość w mieszaninie Czynnik wpływający na trwałość Zgodność Sposób podania Bibliografia pdf
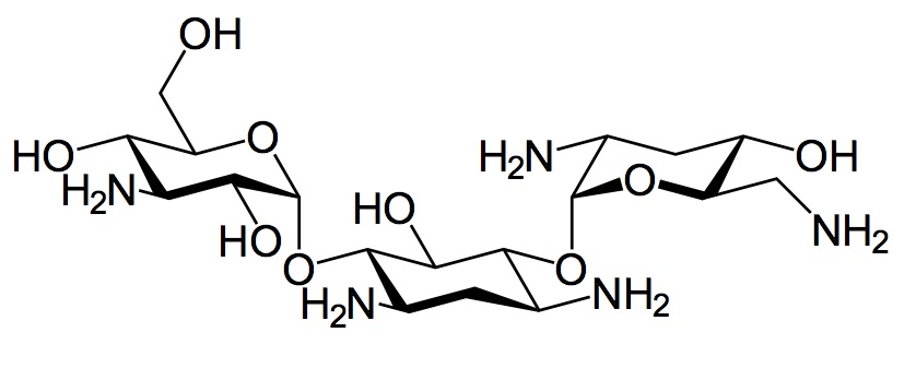
   Struktura chemiczna  

Nazwa handlowa   Nazwa handlowa     

Trade names are indicative and excipients composition can be different depending on the country and manufacturers

Bactob Indie
Beltob Indie
Bramicil Włochy
Brulamycin Malezja, Słowenia, Węgry
Eltol Indie
Fytobra Indie
Gernebcin Niemcy
Komitob Indie
Nebcin Arabia Saudyjska, Egipt, Grecja, nowa Zelandia, Wielka Brytania, Zjednoczone Emiraty Arabskie
Nebcina Dania, Maroko, Norwegia, Szwecja
Nebcine Francja , Maroko, Słowenia
Nebicina Włochy
Obracin Belgia, Holandia, Luksemburg, Szwajcaria
Tobracin Arabia Saudyjska, Brazylia, Egipt
Tobramicina Argentyna, Brazylia, Chile, Ekwador, Hiszpania, KolumbiaKolumbia, Portugalia, Włochy
Tobramina Brazylia
Tobramycin Arabia Saudyjska, Australia, Irlandia, Kanada, Niemcy, Norwegia, Stany Zjednoczone Ameryki, Wielka Brytania
Tobramycine Francja , Holandia, Irlandia
Tobrasix Austria
Tobrazid Niemcy
Trwałość w mieszaninie   Injekcje   Trwałość w mieszaninie : Tobramycin sulfate     
Pojemnik Rozpuszczalnik Stężenie Związek Temperatura Przechowywanie Czas trwania stabilności Bibliografia
Szkło Glukoza 5% 3,2 mg/ml
Injekcje   Tobramycin sulfate   
Injekcje   Filgrastim 40 µg/ml
25°C
4 Godzina
Nie wyszczególniony 104
Poziom wiarygodności B
Szkło Żaden 0,8 mg/ml
Injekcje   Tobramycin sulfate   
Injekcje   Ofloxacin 2 mg/ml
25°C
48 Godzina
Nie wyszczególniony 889
Poziom wiarygodności D
Polichlorek winylu Chlorek sodu 0,9% 1,2 mg/ml
Injekcje   Tobramycin sulfate   
Injekcje   Clindamycin phosphate 9 mg/ml
-20°C
28 Dzień
Chronić od światła 565
Poziom wiarygodności D
Polichlorek winylu Chlorek sodu 0,9% 1 mg/ml
Injekcje   Tobramycin sulfate   
Injekcje   Ciprofloxacin lactate 1,5 mg/ml
25°C
48 Godzina
światło 434
Polichlorek winylu Chlorek sodu 0,9% 0,2 & 0,8 mg/ml
Injekcje   Tobramycin sulfate   
Injekcje   Aztreonam 10 & 20 mg/ml
25°C
48 Godzina
Nie wyszczególniony 19
Poziom wiarygodności D
Polichlorek winylu Chlorek sodu 0,9% 0,2 mg/ml
Injekcje   Tobramycin sulfate   
Injekcje   Aztreonam 10 & 20 mg/ml
4°C
7 Dzień
Chronić od światła 19
Poziom wiarygodności D
Polichlorek winylu Chlorek sodu 0,9% 0,2 & 0,8 mg/ml
Injekcje   Tobramycin sulfate   
Injekcje   Aztreonam 10 & 20 mg/ml
4°C
7 Dzień
Chronić od światła 19
Poziom wiarygodności D
Polichlorek winylu Chlorek sodu 0,9% 1 mg/ml
Injekcje   Tobramycin sulfate   
Injekcje   Ciprofloxacin lactate 1,5 mg/ml
4°C
48 Godzina
Chronić od światła 434
Polichlorek winylu Glukoza 5% 1,2 mg/ml
Injekcje   Tobramycin sulfate   
Injekcje   Clindamycin phosphate 9 mg/ml
-20°C
14 Dzień
Chronić od światła 565
Poziom wiarygodności D
Polichlorek winylu Glukoza 5% 1 mg/ml
Injekcje   Tobramycin sulfate   
Injekcje   Ciprofloxacin lactate 1,5 mg/ml
25°C
48 Godzina
światło 434
Polichlorek winylu Glukoza 5% 0,2 & 0,8 mg/ml
Injekcje   Tobramycin sulfate   
Injekcje   Aztreonam 10 & 20 mg/ml
25°C
48 Godzina
Nie wyszczególniony 19
Poziom wiarygodności D
Polichlorek winylu Glukoza 5% 0,2 mg/ml
Injekcje   Tobramycin sulfate   
Injekcje   Aztreonam 10 & 20 mg/ml
4°C
7 Dzień
Chronić od światła 19
Poziom wiarygodności D
Polichlorek winylu Glukoza 5% 0,2 & 0,8 mg/ml
Injekcje   Tobramycin sulfate   
Injekcje   Aztreonam 10 & 20 mg/ml
4°C
7 Dzień
Chronić od światła 19
Poziom wiarygodności D
Polichlorek winylu Glukoza 5% 1 mg/ml
Injekcje   Tobramycin sulfate   
Injekcje   Ciprofloxacin lactate 1,5 mg/ml
4°C
48 Godzina
Chronić od światła 434
Polichlorek winylu Dianéal® PD2 2.5% glucose (Baxter) 0,008 mg/ml
Injekcje   Tobramycin sulfate   
Injekcje   Ceftazidime 0,125 mg/ml
24°C
16 Godzina
Nie wyszczególniony 2369
Poziom wiarygodności B
Polichlorek winylu Dianéal® PD2 2.5% glucose (Baxter) 0,008 mg/ml
Injekcje   Tobramycin sulfate   
Injekcje   Ceftazidime 0,125 mg/ml
37°C
8 Godzina
Nie wyszczególniony 2369
Poziom wiarygodności B
Poliolefina Żaden 0,80 mg/ml
Injekcje   Tobramycin sulfate   
Injekcje   Linezolid 1,80 mg/ml
23°C
1 Dzień
Chronić od światła 2353
Poziom wiarygodności B+
Poliolefina Żaden 0,80 mg/ml
Injekcje   Tobramycin sulfate   
Injekcje   Linezolid 1,80 mg/ml
4°C
7 Dzień
Chronić od światła 2353
Poziom wiarygodności B+

  Mentions Légales