Son güncelleme :
17/12/2025
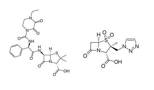
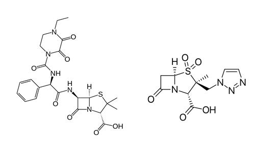
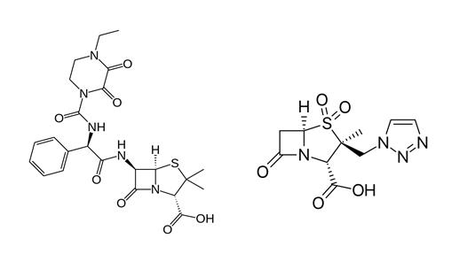
Antibiyotik   Piperacillin sodium / tazobactam  
Enjeksiyon
Çözeltilerin stabilitesi Karışımlardaki stabilitesi Stabiliteyi etkileyen faktörler Uyumluluk Uygulama yöntemi Kaynaklar pdf
   Kimyasal yapı   

Ticari isim   Ticari isim     

Trade names are indicative and excipients composition can be different depending on the country and manufacturers

Bagotaz Arjantin
Betampil Ekvador
Bioval Şili
Petezam Arjantin
Piperac Almanya
Piperacillin tazobactam Almanya, Belçika, Kanada
Piperazam Brezilya
Pipetazo Şili
Pipitaz Avusturya
Pixamol Kolombiya
Tazobac Ekvador, İsviçre, İtalya, Portekiz
Tazocel İspanya
Tazocilline Fransa
Tazocin Arjantin, Avustralya, Birleşik Arap Emirlikleri, Brezilya, Büyük Britanya, Danimarka, Finlandiya, Güney Afrika Cumhuriyeti, Hırvatistan, Hollanda, İsveç, İtalya, Kolombiya, Kuzey irlanda, Lüksemburg, Macaristan, Meksika, Mısır, Norveç, Peru, Polonya, Türkiye, yeni Zelanda, Yunanistan
Tazonam Avusturya, Şili
Tazopip Avustralya
Tazpen Kolombiya, Meksika
Tazrobida Kolombiya
Tigux Şili
Tratac Şili
Trital Ekvador
Zosyn Amerika Birleşik Devletleri, Japonya
Çözeltilerin stabilitesi   Enjeksiyon    Çözeltilerin stabilitesi : Piperacillin sodium / tazobactam     
Saklama kabı Çözücü Konsantrasyon Isı Saklama    Stabilite süresi Kaynaklar
Cam Enjeksiyonluk su 20/2,5 mg/ml 2-8°C Işıktan koruyunuz
2 Gün
4922
Kanıt düzeyi D

Cam NaCl 0.9% + fenol 0.4% 20/2,5 mg/ml 2-8°C Işıktan koruyunuz
2 Gün
4922
Kanıt düzeyi D

Polivinil klorür Sodyum klorür % 0,9 20 / 2.5 mg/ml 23°C
72 Zaman
2345
Kanıt düzeyi A

Polivinil klorür Sodyum klorür % 0,9 20 / 2.5 mg/ml 5°C Işıktan koruyunuz
28 Gün
2345
Kanıt düzeyi A

Polivinil klorür Sodyum klorür % 0,9 40 / 5 mg/ml 25°C I_ık
4 Gün
2026
Kanıt düzeyi B

Polivinil klorür Sodyum klorür % 0,9 40 / 5 mg/ml 7°C Işıktan koruyunuz
5 Gün
2026
Kanıt düzeyi B

Polivinil klorür Sodyum klorür % 0,9 80 / 10 mg/ml -15°C Işıktan koruyunuz
30 Gün
274
Kanıt düzeyi D

Polivinil klorür Sodyum klorür % 0,9 80 / 10 mg/ml 25°C Belirtilmemiş
24 Zaman
274
Kanıt düzeyi D

Polivinil klorür Sodyum klorür % 0,9 80 / 10 mg/ml 4°C Işıktan koruyunuz
7 Gün
274
Kanıt düzeyi D

Polivinil klorür Glukoz %5 33.3 / 4.1 mg/ml -20°C Işıktan koruyunuz
90 Gün
1946

Polivinil klorür Glukoz %5 33.3 / 4.1 mg/ml 4°C Belirtilmemiş
35 Gün
1946

Polivinil klorür Glukoz %5 80 / 10 mg/ml -15°C Işıktan koruyunuz
30 Gün
274
Kanıt düzeyi D

Polivinil klorür Glukoz %5 80 / 10 mg/ml 23°C
72 Zaman
2345
Kanıt düzeyi A

Polivinil klorür Glukoz %5 80 / 10 mg/ml 25°C Belirtilmemiş
24 Zaman
274
Kanıt düzeyi D

Polivinil klorür Glukoz %5 80 / 10 mg/ml 4°C Işıktan koruyunuz
7 Gün
274
Kanıt düzeyi D

Polivinil klorür Glukoz %5 80 / 10 mg/ml 5°C Işıktan koruyunuz
28 Gün
2345
Kanıt düzeyi A

Poliolefin Sodyum klorür % 0,9 40 / 5 mg/ml 25°C I_ık
3 Gün
2026
Kanıt düzeyi B

Poliolefin Sodyum klorür % 0,9 40 / 5 mg/ml 7°C Işıktan koruyunuz
17 Gün
2026
Kanıt düzeyi B

Poliolefin Sodyum klorür % 0,9 50.6 / 6.3 mg/ml 2-8°C Belirtilmemiş
17 Gün
4620
Kanıt düzeyi A+

Poliolefin Sodyum klorür % 0,9 50.6 / 6.3 mg/ml 25°C Belirtilmemiş
3 Zaman
4620
Kanıt düzeyi A+

Poliolefin Glukoz %5 33,3 / 4,1 mg/ml -20°C Işıktan koruyunuz
90 Gün
4148
Kanıt düzeyi D

Poliolefin Glukoz %5 33,3 / 4,1 mg/ml 2-8°C Belirtilmemiş
58 Gün
4148
Kanıt düzeyi D

Poliolefin Glukoz %5 50.6 / 6.3 mg/ml 2-8°C Belirtilmemiş
17 Gün
4621
Kanıt düzeyi A+

Poliolefin Glukoz %5 50.6 / 6.3 mg/ml 25°C Belirtilmemiş
3 Zaman
4621
Kanıt düzeyi A+

Şırınga polipropilen Enjeksiyonluk su 20/2,5 mg/ml 2-8°C Işıktan koruyunuz
2 Gün
4922
Kanıt düzeyi D

Şırınga polipropilen Sodyum klorür % 0,9 125/15,6 mg/ml 20-25°C I_ık
48 Zaman
4634
Kanıt düzeyi C+

Şırınga polipropilen Sodyum klorür % 0,9 150 / 18,75 mg/ml 4°C Işıktan koruyunuz
7 Gün
274
Kanıt düzeyi D

Şırınga polipropilen Sodyum klorür % 0,9 150 / 18.75 mg/ml -15°C Işıktan koruyunuz
30 Gün
274
Kanıt düzeyi D

Şırınga polipropilen Sodyum klorür % 0,9 150 / 18.75 mg/ml 25°C Belirtilmemiş
24 Zaman
274
Kanıt düzeyi D

Şırınga polipropilen Sodyum klorür % 0,9 200 / 25 mg/ml -15°C Işıktan koruyunuz
30 Gün
274
Kanıt düzeyi D

Şırınga polipropilen Sodyum klorür % 0,9 200 / 25 mg/ml 25°C Belirtilmemiş
24 Zaman
274
Kanıt düzeyi D

Şırınga polipropilen Sodyum klorür % 0,9 200 / 25 mg/ml 4°C Işıktan koruyunuz
7 Gün
274
Kanıt düzeyi D

Şırınga polipropilen Sodyum klorür % 0,9 80 / 10 mg/ml 25°C I_ık
12 Zaman
4326
Kanıt düzeyi B

Şırınga polipropilen Glukoz %5 125/15,6 mg/ml 20-25°C I_ık
48 Zaman
4634
Kanıt düzeyi C+

Şırınga polipropilen Glukoz %5 150 / 18,75 mg/ml 4°C Işıktan koruyunuz
7 Gün
274
Kanıt düzeyi D

Şırınga polipropilen Glukoz %5 150 / 18.75 mg/ml -15°C Işıktan koruyunuz
30 Gün
274
Kanıt düzeyi D

Şırınga polipropilen Glukoz %5 150 / 18.75 mg/ml 25°C Belirtilmemiş
24 Zaman
274
Kanıt düzeyi D

Şırınga polipropilen Glukoz %5 200 / 25 mg/ml -15°C Işıktan koruyunuz
30 Gün
274
Kanıt düzeyi D

Şırınga polipropilen Glukoz %5 200 / 25 mg/ml 25°C Belirtilmemiş
24 Zaman
274
Kanıt düzeyi D

Şırınga polipropilen Glukoz %5 200 / 25 mg/ml 4°C Işıktan koruyunuz
7 Gün
274
Kanıt düzeyi D

Şırınga polipropilen NaCl 0.9% + fenol 0.4% 20/2,5 mg/ml 2-8°C Işıktan koruyunuz
2 Gün
4922
Kanıt düzeyi D

poliizopren elastomer Sodyum klorür % 0,9 50 / 6,25 mg/ml 32°C Işıktan koruyunuz
24 Zaman
4850
Kanıt düzeyi A+

poliizopren elastomer Sodyum klorür % 0,9 66,7/8,3 mg/ml 37°C Işıktan koruyunuz
8 Zaman
4634
Kanıt düzeyi C+

poliizopren elastomer Sodyum klorür % 0,9 80 / 10 & 10 / 1.25 mg/ml 25°C Belirtilmemiş
24 Zaman
604
Üreticinin stabilite verileri

poliizopren elastomer Sodyum klorür % 0,9 80 / 10 & 10 / 1.25 mg/ml 4°C Işıktan koruyunuz
7 Gün
604
Üreticinin stabilite verileri

poliizopren elastomer Glukoz %5 66,7/8,3 mg/ml 37°C Işıktan koruyunuz
24 Zaman
4634
Kanıt düzeyi C+

poliizopren elastomer Glukoz %5 80 / 10 & 10 / 1.25 mg/ml 25°C Belirtilmemiş
24 Zaman
604
Üreticinin stabilite verileri

poliizopren elastomer Glukoz %5 80 / 10 & 10 / 1.25 mg/ml 4°C Işıktan koruyunuz
7 Gün
604
Üreticinin stabilite verileri

poliizopren elastomer NaCl% 0.9 tampon sitrat% 0.3 pH7 22 / 3 mg/ml 2-8°C Belirtilmemiş
13 Gün
4512
Kanıt düzeyi A+

poliizopren elastomer NaCl% 0.9 tampon sitrat% 0.3 pH7 22 / 3 mg/ml 32°C Belirtilmemiş
24 Zaman
4512
Kanıt düzeyi A+

poliizopren elastomer NaCl% 0.9 tampon sitrat% 0.3 pH7 80 / 10 mg/ml 2-8°C Belirtilmemiş
13 Gün
4512
Kanıt düzeyi A+

poliizopren elastomer NaCl% 0.9 tampon sitrat% 0.3 pH7 80 / 10 mg/ml 32°C Belirtilmemiş
24 Zaman
4512
Kanıt düzeyi A+

Silikon elastomer NaCl% 0.9 tampon sitrat% 0.3 pH7 22 / 3 mg/ml 2-8°C Belirtilmemiş
13 Gün
4512
Kanıt düzeyi A+

Silikon elastomer NaCl% 0.9 tampon sitrat% 0.3 pH7 22 / 3 mg/ml 32°C Belirtilmemiş
24 Zaman
4512
Kanıt düzeyi A+

Silikon elastomer NaCl% 0.9 tampon sitrat% 0.3 pH7 80 / 10 mg/ml 2-8°C Belirtilmemiş
13 Gün
4512
Kanıt düzeyi A+

Silikon elastomer NaCl% 0.9 tampon sitrat% 0.3 pH7 80 / 10 mg/ml 32°C Belirtilmemiş
24 Zaman
4512
Kanıt düzeyi A+

Elastomer (belirtilmemiş) Enjeksiyonluk su 128 / 16 mg/ml 25°C Belirtilmemiş
72 Zaman
2042
Kanıt düzeyi D

Elastomer (belirtilmemiş) Enjeksiyonluk su 128 / 16 mg/ml 37°C Belirtilmemiş
24 Zaman
2042
Kanıt düzeyi D

Belirtilmemiş Sodyum klorür % 0,9 40 / 5 mg/ml 22-23°C Işıktan koruyunuz
24 Zaman
4758
Kanıt düzeyi B

Belirtilmemiş Dianéal® PD2 4.25% Glukoz (Baxter) 0.2 / 0.025 mg/ml 23°C Belirtilmemiş
7 Gün
2451
Kanıt düzeyi A

Belirtilmemiş Dianéal® PD2 4.25% Glukoz (Baxter) 0.2 / 0.025 mg/ml 37°C Belirtilmemiş
24 Zaman
2451
Kanıt düzeyi A

Belirtilmemiş Dianéal® PD2 4.25% Glukoz (Baxter) 0.2 / 0.025 mg/ml 4°C Belirtilmemiş
14 Gün
2451
Kanıt düzeyi A

Belirtilmemiş Dianéal® PD2 1.5% Glukoz (Baxter) 0.2 / 0.025 mg/ml 23°C Belirtilmemiş
7 Gün
2451
Kanıt düzeyi A

Belirtilmemiş Dianéal® PD2 1.5% Glukoz (Baxter) 0.2 / 0.025 mg/ml 37°C Belirtilmemiş
24 Zaman
2451
Kanıt düzeyi A

Belirtilmemiş Dianéal® PD2 1.5% Glukoz (Baxter) 0.2 / 0.025 mg/ml 4°C Belirtilmemiş
14 Gün
2451
Kanıt düzeyi A


  Mentions Légales