Last update :
17/12/2025
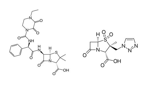
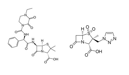
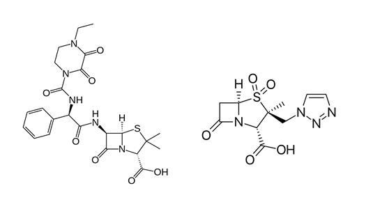
Antibiotic   Piperacillin sodium / tazobactam  
injection
Stability in solutions Stability of mixtures Factors which affect stability Compatibility Route of administration References pdf
   Chemical structure  

Tradename   Tradename     

Trade names are indicative and excipients composition can be different depending on the country and manufacturers

Bagotaz Argentina
Betampil Ecuador
Bioval Chile
Petezam Argentina
Piperac Germany
Piperacillin tazobactam Belgium, Canada, Germany
Piperazam Brazil
Pipetazo Chile
Pipitaz Austria
Pixamol Colombia
Tazobac Ecuador, Italy, Portugal, Switzerland
Tazocel Spain
Tazocilline France
Tazocin Argentina, Australia, Brazil, Colombia, Croatia, Denmark, Egypt, Finland, Great Britain, Greece, Hungary, Italy, Luxembourg, Mexico, Netherlands, New Zealand, North Ireland, Norway, Peru, Poland, Republic of South Africa, Sweden, Turkey, United Arab Emirates
Tazonam Austria, Chile
Tazopip Australia
Tazpen Colombia, Mexico
Tazrobida Colombia
Tigux Chile
Tratac Chile
Trital Ecuador
Zosyn Japan, United States of America
Stability in solutions   injection   Stability in solutions : Piperacillin sodium / tazobactam     
Container Solvent Concentration Temperature Storage Duration of stability References
Glass Water for Injection 20/2,5 mg/ml 2-8°C Protect from light
2 Day
4922
Level of evidence D

Glass NaCl 0.9% + phenol 0.4% 20/2,5 mg/ml 2-8°C Protect from light
2 Day
4922
Level of evidence D

Polyvinyl chloride Sodium chloride 0,9% 20 / 2.5 mg/ml 23°C
72 Hour
2345
Level of evidence A

Polyvinyl chloride Sodium chloride 0,9% 20 / 2.5 mg/ml 5°C Protect from light
28 Day
2345
Level of evidence A

Polyvinyl chloride Sodium chloride 0,9% 40 / 5 mg/ml 25°C Light
4 Day
2026
Level of evidence B

Polyvinyl chloride Sodium chloride 0,9% 40 / 5 mg/ml 7°C Protect from light
5 Day
2026
Level of evidence B

Polyvinyl chloride Sodium chloride 0,9% 80 / 10 mg/ml -15°C Protect from light
30 Day
274
Level of evidence D

Polyvinyl chloride Sodium chloride 0,9% 80 / 10 mg/ml 25°C Not specified
24 Hour
274
Level of evidence D

Polyvinyl chloride Sodium chloride 0,9% 80 / 10 mg/ml 4°C Protect from light
7 Day
274
Level of evidence D

Polyvinyl chloride Glucose 5% 33.3 / 4.1 mg/ml -20°C Protect from light
90 Day
1946

Polyvinyl chloride Glucose 5% 33.3 / 4.1 mg/ml 4°C Not specified
35 Day
1946

Polyvinyl chloride Glucose 5% 80 / 10 mg/ml -15°C Protect from light
30 Day
274
Level of evidence D

Polyvinyl chloride Glucose 5% 80 / 10 mg/ml 23°C
72 Hour
2345
Level of evidence A

Polyvinyl chloride Glucose 5% 80 / 10 mg/ml 25°C Not specified
24 Hour
274
Level of evidence D

Polyvinyl chloride Glucose 5% 80 / 10 mg/ml 4°C Protect from light
7 Day
274
Level of evidence D

Polyvinyl chloride Glucose 5% 80 / 10 mg/ml 5°C Protect from light
28 Day
2345
Level of evidence A

Polyolefine Sodium chloride 0,9% 40 / 5 mg/ml 25°C Light
3 Day
2026
Level of evidence B

Polyolefine Sodium chloride 0,9% 40 / 5 mg/ml 7°C Protect from light
17 Day
2026
Level of evidence B

Polyolefine Sodium chloride 0,9% 50.6 / 6.3 mg/ml 2-8°C Not specified
17 Day
4620
Level of evidence A+

Polyolefine Sodium chloride 0,9% 50.6 / 6.3 mg/ml 25°C Not specified
3 Hour
4620
Level of evidence A+

Polyolefine Glucose 5% 33,3 / 4,1 mg/ml -20°C Protect from light
90 Day
4148
Level of evidence D

Polyolefine Glucose 5% 33,3 / 4,1 mg/ml 2-8°C Not specified
58 Day
4148
Level of evidence D

Polyolefine Glucose 5% 50.6 / 6.3 mg/ml 2-8°C Not specified
17 Day
4621
Level of evidence A+

Polyolefine Glucose 5% 50.6 / 6.3 mg/ml 25°C Not specified
3 Hour
4621
Level of evidence A+

Polypropylen Syringe Water for Injection 20/2,5 mg/ml 2-8°C Protect from light
2 Day
4922
Level of evidence D

Polypropylen Syringe Sodium chloride 0,9% 125/15,6 mg/ml 20-25°C Light
48 Hour
4634
Level of evidence C+

Polypropylen Syringe Sodium chloride 0,9% 150 / 18,75 mg/ml 4°C Protect from light
7 Day
274
Level of evidence D

Polypropylen Syringe Sodium chloride 0,9% 150 / 18.75 mg/ml -15°C Protect from light
30 Day
274
Level of evidence D

Polypropylen Syringe Sodium chloride 0,9% 150 / 18.75 mg/ml 25°C Not specified
24 Hour
274
Level of evidence D

Polypropylen Syringe Sodium chloride 0,9% 200 / 25 mg/ml -15°C Protect from light
30 Day
274
Level of evidence D

Polypropylen Syringe Sodium chloride 0,9% 200 / 25 mg/ml 25°C Not specified
24 Hour
274
Level of evidence D

Polypropylen Syringe Sodium chloride 0,9% 200 / 25 mg/ml 4°C Protect from light
7 Day
274
Level of evidence D

Polypropylen Syringe Sodium chloride 0,9% 80 / 10 mg/ml 25°C Light
12 Hour
4326
Level of evidence B

Polypropylen Syringe Glucose 5% 125/15,6 mg/ml 20-25°C Light
48 Hour
4634
Level of evidence C+

Polypropylen Syringe Glucose 5% 150 / 18,75 mg/ml 4°C Protect from light
7 Day
274
Level of evidence D

Polypropylen Syringe Glucose 5% 150 / 18.75 mg/ml -15°C Protect from light
30 Day
274
Level of evidence D

Polypropylen Syringe Glucose 5% 150 / 18.75 mg/ml 25°C Not specified
24 Hour
274
Level of evidence D

Polypropylen Syringe Glucose 5% 200 / 25 mg/ml -15°C Protect from light
30 Day
274
Level of evidence D

Polypropylen Syringe Glucose 5% 200 / 25 mg/ml 25°C Not specified
24 Hour
274
Level of evidence D

Polypropylen Syringe Glucose 5% 200 / 25 mg/ml 4°C Protect from light
7 Day
274
Level of evidence D

Polypropylen Syringe NaCl 0.9% + phenol 0.4% 20/2,5 mg/ml 2-8°C Protect from light
2 Day
4922
Level of evidence D

Polyisoprene elastomer Sodium chloride 0,9% 50 / 6,25 mg/ml 32°C Protect from light
24 Hour
4850
Level of evidence A+

Polyisoprene elastomer Sodium chloride 0,9% 66,7/8,3 mg/ml 37°C Protect from light
8 Hour
4634
Level of evidence C+

Polyisoprene elastomer Sodium chloride 0,9% 80 / 10 & 10 / 1.25 mg/ml 25°C Not specified
24 Hour
604
Manufacturer's stability data

Polyisoprene elastomer Sodium chloride 0,9% 80 / 10 & 10 / 1.25 mg/ml 4°C Protect from light
7 Day
604
Manufacturer's stability data

Polyisoprene elastomer Glucose 5% 66,7/8,3 mg/ml 37°C Protect from light
24 Hour
4634
Level of evidence C+

Polyisoprene elastomer Glucose 5% 80 / 10 & 10 / 1.25 mg/ml 25°C Not specified
24 Hour
604
Manufacturer's stability data

Polyisoprene elastomer Glucose 5% 80 / 10 & 10 / 1.25 mg/ml 4°C Protect from light
7 Day
604
Manufacturer's stability data

Polyisoprene elastomer NaCl 0.9% citrate buffer 0.3% pH7 22 / 3 mg/ml 2-8°C Not specified
13 Day
4512
Level of evidence A+

Polyisoprene elastomer NaCl 0.9% citrate buffer 0.3% pH7 22 / 3 mg/ml 32°C Not specified
24 Hour
4512
Level of evidence A+

Polyisoprene elastomer NaCl 0.9% citrate buffer 0.3% pH7 80 / 10 mg/ml 2-8°C Not specified
13 Day
4512
Level of evidence A+

Polyisoprene elastomer NaCl 0.9% citrate buffer 0.3% pH7 80 / 10 mg/ml 32°C Not specified
24 Hour
4512
Level of evidence A+

Silicone elastomer NaCl 0.9% citrate buffer 0.3% pH7 22 / 3 mg/ml 2-8°C Not specified
13 Day
4512
Level of evidence A+

Silicone elastomer NaCl 0.9% citrate buffer 0.3% pH7 22 / 3 mg/ml 32°C Not specified
24 Hour
4512
Level of evidence A+

Silicone elastomer NaCl 0.9% citrate buffer 0.3% pH7 80 / 10 mg/ml 2-8°C Not specified
13 Day
4512
Level of evidence A+

Silicone elastomer NaCl 0.9% citrate buffer 0.3% pH7 80 / 10 mg/ml 32°C Not specified
24 Hour
4512
Level of evidence A+

Elastomer (unspecified) Water for Injection 128 / 16 mg/ml 25°C Not specified
72 Hour
2042
Level of evidence D

Elastomer (unspecified) Water for Injection 128 / 16 mg/ml 37°C Not specified
24 Hour
2042
Level of evidence D

Not specified Sodium chloride 0,9% 40 / 5 mg/ml 22-23°C Protect from light
24 Hour
4758
Level of evidence B

Not specified Dianéal® PD2 4.25% glucose (Baxter) 0.2 / 0.025 mg/ml 23°C Not specified
7 Day
2451
Level of evidence A

Not specified Dianéal® PD2 4.25% glucose (Baxter) 0.2 / 0.025 mg/ml 37°C Not specified
24 Hour
2451
Level of evidence A

Not specified Dianéal® PD2 4.25% glucose (Baxter) 0.2 / 0.025 mg/ml 4°C Not specified
14 Day
2451
Level of evidence A

Not specified Dianéal® PD2 1.5% glucose (Baxter) 0.2 / 0.025 mg/ml 23°C Not specified
7 Day
2451
Level of evidence A

Not specified Dianéal® PD2 1.5% glucose (Baxter) 0.2 / 0.025 mg/ml 37°C Not specified
24 Hour
2451
Level of evidence A

Not specified Dianéal® PD2 1.5% glucose (Baxter) 0.2 / 0.025 mg/ml 4°C Not specified
14 Day
2451
Level of evidence A


  Mentions Légales