viimane versioon :
17/12/2025
antibiootikum   Piperacillin sodium / tazobactam  
Süsteravim
Stabiilsus lahustes Stabiilsust mõjutavad tegurid stabiilsust mõjutavad faktorid Sobimatus Manustamis viis Viited pdf
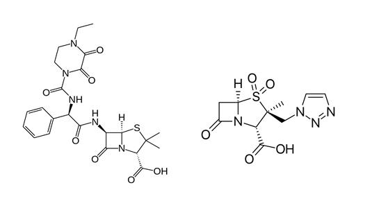
   keemiline struktuur  

Kaubanduslikud nimed erinevates maades   Kaubanduslikud nimed erinevates maades     

Preparaatide nimed on näitlikud ja abianete sisaldus võib erineda sõltuvalt riigist ja laborist

Bagotaz Argentiina
Betampil Ecuador
Bioval Tšiili
Petezam Argentiina
Piperac Saksamaa
Piperacillin tazobactam Belgia, Kanada, Saksamaa
Piperazam Brasiilia
Pipetazo Tšiili
Pipitaz Austria
Pixamol Kolumbia
Tazobac Ecuador, Itaalia, Portugal, Sveits
Tazocel Hispaania
Tazocilline Prantsusmaa
Tazocin Araabia Ühendemiraadid, Argentiina, Austraalia, Brasiilia, Egiptus, Holland, Horvaatia, Itaalia, Kolumbia, Kreeka, Lõuna Aafrika Vabariik, Luksemburg, Maroko, Mehhiko, Norra, Põhja-Iirimaa, Poola, Rootsi, Soome, Suurbritannia, Taani, Türgi, Ungari, uus-Meremaa
Tazonam Austria, Tšiili
Tazopip Austraalia
Tazpen Kolumbia, Mehhiko
Tazrobida Kolumbia
Tigux Tšiili
Tratac Tšiili
Trital Ecuador
Zosyn Ameerika ühendriigid, Jaapan
Stabiilsus lahustes   Süsteravim   Stabiilsus lahustes : Piperacillin sodium / tazobactam     
konteiner lahusti kontsentratsioon temperatuur ladustamine Stabiilsuse kestus Viited
klaas süstevesi 20/2,5 mg/ml 2-8°C kaitsta valguse eest
2 päev
4922
Tõenduspõhisuse tase D

klaas NaCl 0.9% + fenool 0.4% 20/2,5 mg/ml 2-8°C kaitsta valguse eest
2 päev
4922
Tõenduspõhisuse tase D

polüvinüülkloriid naatriumkloriid 0.9% 20 / 2.5 mg/ml 23°C
72 Tund
2345
Tõenduspõhisuse tase A

polüvinüülkloriid naatriumkloriid 0.9% 20 / 2.5 mg/ml 5°C kaitsta valguse eest
28 päev
2345
Tõenduspõhisuse tase A

polüvinüülkloriid naatriumkloriid 0.9% 40 / 5 mg/ml 25°C valgus
4 päev
2026
Tõenduspõhisuse tase B

polüvinüülkloriid naatriumkloriid 0.9% 40 / 5 mg/ml 7°C kaitsta valguse eest
5 päev
2026
Tõenduspõhisuse tase B

polüvinüülkloriid naatriumkloriid 0.9% 80 / 10 mg/ml -15°C kaitsta valguse eest
30 päev
274
Tõenduspõhisuse tase D

polüvinüülkloriid naatriumkloriid 0.9% 80 / 10 mg/ml 25°C pole täpsustatud
24 Tund
274
Tõenduspõhisuse tase D

polüvinüülkloriid naatriumkloriid 0.9% 80 / 10 mg/ml 4°C kaitsta valguse eest
7 päev
274
Tõenduspõhisuse tase D

polüvinüülkloriid glükoos 5% 33.3 / 4.1 mg/ml -20°C kaitsta valguse eest
90 päev
1946

polüvinüülkloriid glükoos 5% 33.3 / 4.1 mg/ml 4°C pole täpsustatud
35 päev
1946

polüvinüülkloriid glükoos 5% 80 / 10 mg/ml -15°C kaitsta valguse eest
30 päev
274
Tõenduspõhisuse tase D

polüvinüülkloriid glükoos 5% 80 / 10 mg/ml 23°C
72 Tund
2345
Tõenduspõhisuse tase A

polüvinüülkloriid glükoos 5% 80 / 10 mg/ml 25°C pole täpsustatud
24 Tund
274
Tõenduspõhisuse tase D

polüvinüülkloriid glükoos 5% 80 / 10 mg/ml 4°C kaitsta valguse eest
7 päev
274
Tõenduspõhisuse tase D

polüvinüülkloriid glükoos 5% 80 / 10 mg/ml 5°C kaitsta valguse eest
28 päev
2345
Tõenduspõhisuse tase A

polüolefiin naatriumkloriid 0.9% 40 / 5 mg/ml 25°C valgus
3 päev
2026
Tõenduspõhisuse tase B

polüolefiin naatriumkloriid 0.9% 40 / 5 mg/ml 7°C kaitsta valguse eest
17 päev
2026
Tõenduspõhisuse tase B

polüolefiin naatriumkloriid 0.9% 50.6 / 6.3 mg/ml 2-8°C pole täpsustatud
17 päev
4620
Tõenduspõhisuse tase A+

polüolefiin naatriumkloriid 0.9% 50.6 / 6.3 mg/ml 25°C pole täpsustatud
3 Tund
4620
Tõenduspõhisuse tase A+

polüolefiin glükoos 5% 33,3 / 4,1 mg/ml -20°C kaitsta valguse eest
90 päev
4148
Tõenduspõhisuse tase D

polüolefiin glükoos 5% 33,3 / 4,1 mg/ml 2-8°C pole täpsustatud
58 päev
4148
Tõenduspõhisuse tase D

polüolefiin glükoos 5% 50.6 / 6.3 mg/ml 2-8°C pole täpsustatud
17 päev
4621
Tõenduspõhisuse tase A+

polüolefiin glükoos 5% 50.6 / 6.3 mg/ml 25°C pole täpsustatud
3 Tund
4621
Tõenduspõhisuse tase A+

süstal  polüpropüleenist süstevesi 20/2,5 mg/ml 2-8°C kaitsta valguse eest
2 päev
4922
Tõenduspõhisuse tase D

süstal  polüpropüleenist naatriumkloriid 0.9% 125/15,6 mg/ml 20-25°C valgus
48 Tund
4634
Tõenduspõhisuse tase C+

süstal  polüpropüleenist naatriumkloriid 0.9% 150 / 18,75 mg/ml 4°C kaitsta valguse eest
7 päev
274
Tõenduspõhisuse tase D

süstal  polüpropüleenist naatriumkloriid 0.9% 150 / 18.75 mg/ml -15°C kaitsta valguse eest
30 päev
274
Tõenduspõhisuse tase D

süstal  polüpropüleenist naatriumkloriid 0.9% 150 / 18.75 mg/ml 25°C pole täpsustatud
24 Tund
274
Tõenduspõhisuse tase D

süstal  polüpropüleenist naatriumkloriid 0.9% 200 / 25 mg/ml -15°C kaitsta valguse eest
30 päev
274
Tõenduspõhisuse tase D

süstal  polüpropüleenist naatriumkloriid 0.9% 200 / 25 mg/ml 25°C pole täpsustatud
24 Tund
274
Tõenduspõhisuse tase D

süstal  polüpropüleenist naatriumkloriid 0.9% 200 / 25 mg/ml 4°C kaitsta valguse eest
7 päev
274
Tõenduspõhisuse tase D

süstal  polüpropüleenist naatriumkloriid 0.9% 80 / 10 mg/ml 25°C valgus
12 Tund
4326
Tõenduspõhisuse tase B

süstal  polüpropüleenist glükoos 5% 125/15,6 mg/ml 20-25°C valgus
48 Tund
4634
Tõenduspõhisuse tase C+

süstal  polüpropüleenist glükoos 5% 150 / 18,75 mg/ml 4°C kaitsta valguse eest
7 päev
274
Tõenduspõhisuse tase D

süstal  polüpropüleenist glükoos 5% 150 / 18.75 mg/ml -15°C kaitsta valguse eest
30 päev
274
Tõenduspõhisuse tase D

süstal  polüpropüleenist glükoos 5% 150 / 18.75 mg/ml 25°C pole täpsustatud
24 Tund
274
Tõenduspõhisuse tase D

süstal  polüpropüleenist glükoos 5% 200 / 25 mg/ml -15°C kaitsta valguse eest
30 päev
274
Tõenduspõhisuse tase D

süstal  polüpropüleenist glükoos 5% 200 / 25 mg/ml 25°C pole täpsustatud
24 Tund
274
Tõenduspõhisuse tase D

süstal  polüpropüleenist glükoos 5% 200 / 25 mg/ml 4°C kaitsta valguse eest
7 päev
274
Tõenduspõhisuse tase D

süstal  polüpropüleenist NaCl 0.9% + fenool 0.4% 20/2,5 mg/ml 2-8°C kaitsta valguse eest
2 päev
4922
Tõenduspõhisuse tase D

Polüisopreenist elastomeer naatriumkloriid 0.9% 50 / 6,25 mg/ml 32°C kaitsta valguse eest
24 Tund
4850
Tõenduspõhisuse tase A+

Polüisopreenist elastomeer naatriumkloriid 0.9% 66,7/8,3 mg/ml 37°C kaitsta valguse eest
8 Tund
4634
Tõenduspõhisuse tase C+

Polüisopreenist elastomeer naatriumkloriid 0.9% 80 / 10 & 10 / 1.25 mg/ml 25°C pole täpsustatud
24 Tund
604
Tootja info stabiilsuse kohta

Polüisopreenist elastomeer naatriumkloriid 0.9% 80 / 10 & 10 / 1.25 mg/ml 4°C kaitsta valguse eest
7 päev
604
Tootja info stabiilsuse kohta

Polüisopreenist elastomeer glükoos 5% 66,7/8,3 mg/ml 37°C kaitsta valguse eest
24 Tund
4634
Tõenduspõhisuse tase C+

Polüisopreenist elastomeer glükoos 5% 80 / 10 & 10 / 1.25 mg/ml 25°C pole täpsustatud
24 Tund
604
Tootja info stabiilsuse kohta

Polüisopreenist elastomeer glükoos 5% 80 / 10 & 10 / 1.25 mg/ml 4°C kaitsta valguse eest
7 päev
604
Tootja info stabiilsuse kohta

Polüisopreenist elastomeer NaCl 0,9% tsitraatpuhver 0,3% pH7 22 / 3 mg/ml 2-8°C pole täpsustatud
13 päev
4512
Tõenduspõhisuse tase A+

Polüisopreenist elastomeer NaCl 0,9% tsitraatpuhver 0,3% pH7 22 / 3 mg/ml 32°C pole täpsustatud
24 Tund
4512
Tõenduspõhisuse tase A+

Polüisopreenist elastomeer NaCl 0,9% tsitraatpuhver 0,3% pH7 80 / 10 mg/ml 2-8°C pole täpsustatud
13 päev
4512
Tõenduspõhisuse tase A+

Polüisopreenist elastomeer NaCl 0,9% tsitraatpuhver 0,3% pH7 80 / 10 mg/ml 32°C pole täpsustatud
24 Tund
4512
Tõenduspõhisuse tase A+

Silikoon elastomeer NaCl 0,9% tsitraatpuhver 0,3% pH7 22 / 3 mg/ml 2-8°C pole täpsustatud
13 päev
4512
Tõenduspõhisuse tase A+

Silikoon elastomeer NaCl 0,9% tsitraatpuhver 0,3% pH7 22 / 3 mg/ml 32°C pole täpsustatud
24 Tund
4512
Tõenduspõhisuse tase A+

Silikoon elastomeer NaCl 0,9% tsitraatpuhver 0,3% pH7 80 / 10 mg/ml 2-8°C pole täpsustatud
13 päev
4512
Tõenduspõhisuse tase A+

Silikoon elastomeer NaCl 0,9% tsitraatpuhver 0,3% pH7 80 / 10 mg/ml 32°C pole täpsustatud
24 Tund
4512
Tõenduspõhisuse tase A+

Elastomeer (täpsustamata) süstevesi 128 / 16 mg/ml 25°C pole täpsustatud
72 Tund
2042
Tõenduspõhisuse tase D

Elastomeer (täpsustamata) süstevesi 128 / 16 mg/ml 37°C pole täpsustatud
24 Tund
2042
Tõenduspõhisuse tase D

pole täpsustatud naatriumkloriid 0.9% 40 / 5 mg/ml 22-23°C kaitsta valguse eest
24 Tund
4758
Tõenduspõhisuse tase B

pole täpsustatud Dianéal® PD2 4.25% glükoos (Baxter) 0.2 / 0.025 mg/ml 23°C pole täpsustatud
7 päev
2451
Tõenduspõhisuse tase A

pole täpsustatud Dianéal® PD2 4.25% glükoos (Baxter) 0.2 / 0.025 mg/ml 37°C pole täpsustatud
24 Tund
2451
Tõenduspõhisuse tase A

pole täpsustatud Dianéal® PD2 4.25% glükoos (Baxter) 0.2 / 0.025 mg/ml 4°C pole täpsustatud
14 päev
2451
Tõenduspõhisuse tase A

pole täpsustatud Dianéal® PD2 1.5% glükoos (Baxter) 0.2 / 0.025 mg/ml 23°C pole täpsustatud
7 päev
2451
Tõenduspõhisuse tase A

pole täpsustatud Dianéal® PD2 1.5% glükoos (Baxter) 0.2 / 0.025 mg/ml 37°C pole täpsustatud
24 Tund
2451
Tõenduspõhisuse tase A

pole täpsustatud Dianéal® PD2 1.5% glükoos (Baxter) 0.2 / 0.025 mg/ml 4°C pole täpsustatud
14 päev
2451
Tõenduspõhisuse tase A


  Mentions Légales