Ultimele actualizari :
17/12/2025
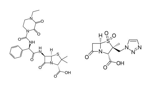
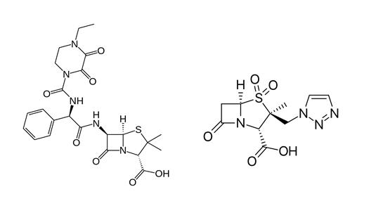
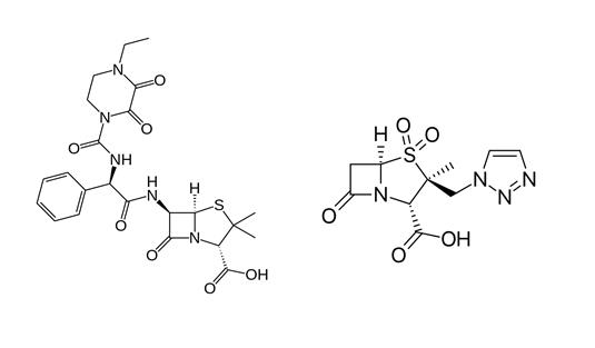
Antibiotic   Piperacillin sodium / tazobactam  
Injectabil
Stabilitatea in solutie Stabilitatea in amestec Factorii care influenteaza stabilitatea Compatibilitate Microunde Bibliografie pdf
   Formula chimica  

Denumirea comerciala   Denumirea comerciala     

Trade names are indicative and excipients composition can be different depending on the country and manufacturers

Bagotaz Argentina
Betampil Ecuador
Bioval Chilli
Petezam Argentina
Piperac Germania
Piperacillin tazobactam Belgia, Canada, Germania
Piperazam Brazilia
Pipetazo Chilli
Pipitaz Austria
Pixamol Columbia
Tazobac Ecuador, Elvetia, Italia, Portugalia
Tazocel Spania
Tazocilline Franta
Tazocin Africa de Sud, Argentina, Australia, Brazilia, Columbia, Croatia, Danemarca, Egipt, Emiratele Arabe Unite, Finlanda, Grecia, Irlanda de Nord, Italia, Luxemburg, Marea Britanie, Mexic, Norvegia, noua Zeelandă, Olanda, Peru, Polonia, Suedia, Turcia, Ungaria
Tazonam Austria, Chilli
Tazopip Australia
Tazpen Columbia, Mexic
Tazrobida Columbia
Tigux Chilli
Tratac Chilli
Trital Ecuador
Zosyn Japonia, SUA
Stabilitatea in solutie   Injectabil   Stabilitatea in solutie : Piperacillin sodium / tazobactam     
Continut Solvent Concentratie Temperatura Conservare Durata stabilității Bibiografie
sticla apa pentru preparate injectabile 20/2,5 mg/ml 2-8°C Ferit de lumina
2 Ziua
4922
Nivel de evidență D

sticla NaCl 0.9% + fenol 0.4% 20/2,5 mg/ml 2-8°C Ferit de lumina
2 Ziua
4922
Nivel de evidență D

clorura de polivinil clorura de sodiu 0,9% 20 / 2.5 mg/ml 23°C
72 Ora
2345
Nivel de evidență A

clorura de polivinil clorura de sodiu 0,9% 20 / 2.5 mg/ml 5°C Ferit de lumina
28 Ziua
2345
Nivel de evidență A

clorura de polivinil clorura de sodiu 0,9% 40 / 5 mg/ml 25°C Lumina
4 Ziua
2026
Nivel de evidență B

clorura de polivinil clorura de sodiu 0,9% 40 / 5 mg/ml 7°C Ferit de lumina
5 Ziua
2026
Nivel de evidență B

clorura de polivinil clorura de sodiu 0,9% 80 / 10 mg/ml -15°C Ferit de lumina
30 Ziua
274
Nivel de evidență D

clorura de polivinil clorura de sodiu 0,9% 80 / 10 mg/ml 25°C Neprecizat
24 Ora
274
Nivel de evidență D

clorura de polivinil clorura de sodiu 0,9% 80 / 10 mg/ml 4°C Ferit de lumina
7 Ziua
274
Nivel de evidență D

clorura de polivinil Glucoza 5% 33.3 / 4.1 mg/ml -20°C Ferit de lumina
90 Ziua
1946

clorura de polivinil Glucoza 5% 33.3 / 4.1 mg/ml 4°C Neprecizat
35 Ziua
1946

clorura de polivinil Glucoza 5% 80 / 10 mg/ml -15°C Ferit de lumina
30 Ziua
274
Nivel de evidență D

clorura de polivinil Glucoza 5% 80 / 10 mg/ml 23°C
72 Ora
2345
Nivel de evidență A

clorura de polivinil Glucoza 5% 80 / 10 mg/ml 25°C Neprecizat
24 Ora
274
Nivel de evidență D

clorura de polivinil Glucoza 5% 80 / 10 mg/ml 4°C Ferit de lumina
7 Ziua
274
Nivel de evidență D

clorura de polivinil Glucoza 5% 80 / 10 mg/ml 5°C Ferit de lumina
28 Ziua
2345
Nivel de evidență A

poliolefine clorura de sodiu 0,9% 40 / 5 mg/ml 25°C Lumina
3 Ziua
2026
Nivel de evidență B

poliolefine clorura de sodiu 0,9% 40 / 5 mg/ml 7°C Ferit de lumina
17 Ziua
2026
Nivel de evidență B

poliolefine clorura de sodiu 0,9% 50.6 / 6.3 mg/ml 2-8°C Neprecizat
17 Ziua
4620
Nivel de evidență A+

poliolefine clorura de sodiu 0,9% 50.6 / 6.3 mg/ml 25°C Neprecizat
3 Ora
4620
Nivel de evidență A+

poliolefine Glucoza 5% 33,3 / 4,1 mg/ml -20°C Ferit de lumina
90 Ziua
4148
Nivel de evidență D

poliolefine Glucoza 5% 33,3 / 4,1 mg/ml 2-8°C Neprecizat
58 Ziua
4148
Nivel de evidență D

poliolefine Glucoza 5% 50.6 / 6.3 mg/ml 2-8°C Neprecizat
17 Ziua
4621
Nivel de evidență A+

poliolefine Glucoza 5% 50.6 / 6.3 mg/ml 25°C Neprecizat
3 Ora
4621
Nivel de evidență A+

seringă polipropileno apa pentru preparate injectabile 20/2,5 mg/ml 2-8°C Ferit de lumina
2 Ziua
4922
Nivel de evidență D

seringă polipropileno clorura de sodiu 0,9% 125/15,6 mg/ml 20-25°C Lumina
48 Ora
4634
Nivel de evidență C+

seringă polipropileno clorura de sodiu 0,9% 150 / 18,75 mg/ml 4°C Ferit de lumina
7 Ziua
274
Nivel de evidență D

seringă polipropileno clorura de sodiu 0,9% 150 / 18.75 mg/ml -15°C Ferit de lumina
30 Ziua
274
Nivel de evidență D

seringă polipropileno clorura de sodiu 0,9% 150 / 18.75 mg/ml 25°C Neprecizat
24 Ora
274
Nivel de evidență D

seringă polipropileno clorura de sodiu 0,9% 200 / 25 mg/ml -15°C Ferit de lumina
30 Ziua
274
Nivel de evidență D

seringă polipropileno clorura de sodiu 0,9% 200 / 25 mg/ml 25°C Neprecizat
24 Ora
274
Nivel de evidență D

seringă polipropileno clorura de sodiu 0,9% 200 / 25 mg/ml 4°C Ferit de lumina
7 Ziua
274
Nivel de evidență D

seringă polipropileno clorura de sodiu 0,9% 80 / 10 mg/ml 25°C Lumina
12 Ora
4326
Nivel de evidență B

seringă polipropileno Glucoza 5% 125/15,6 mg/ml 20-25°C Lumina
48 Ora
4634
Nivel de evidență C+

seringă polipropileno Glucoza 5% 150 / 18,75 mg/ml 4°C Ferit de lumina
7 Ziua
274
Nivel de evidență D

seringă polipropileno Glucoza 5% 150 / 18.75 mg/ml -15°C Ferit de lumina
30 Ziua
274
Nivel de evidență D

seringă polipropileno Glucoza 5% 150 / 18.75 mg/ml 25°C Neprecizat
24 Ora
274
Nivel de evidență D

seringă polipropileno Glucoza 5% 200 / 25 mg/ml -15°C Ferit de lumina
30 Ziua
274
Nivel de evidență D

seringă polipropileno Glucoza 5% 200 / 25 mg/ml 25°C Neprecizat
24 Ora
274
Nivel de evidență D

seringă polipropileno Glucoza 5% 200 / 25 mg/ml 4°C Ferit de lumina
7 Ziua
274
Nivel de evidență D

seringă polipropileno NaCl 0.9% + fenol 0.4% 20/2,5 mg/ml 2-8°C Ferit de lumina
2 Ziua
4922
Nivel de evidență D

Elastomer poliizoprenic clorura de sodiu 0,9% 50 / 6,25 mg/ml 32°C Ferit de lumina
24 Ora
4850
Nivel de evidență A+

Elastomer poliizoprenic clorura de sodiu 0,9% 66,7/8,3 mg/ml 37°C Ferit de lumina
8 Ora
4634
Nivel de evidență C+

Elastomer poliizoprenic clorura de sodiu 0,9% 80 / 10 & 10 / 1.25 mg/ml 25°C Neprecizat
24 Ora
604
Documentele de stabilitate ale producătorului

Elastomer poliizoprenic clorura de sodiu 0,9% 80 / 10 & 10 / 1.25 mg/ml 4°C Ferit de lumina
7 Ziua
604
Documentele de stabilitate ale producătorului

Elastomer poliizoprenic Glucoza 5% 66,7/8,3 mg/ml 37°C Ferit de lumina
24 Ora
4634
Nivel de evidență C+

Elastomer poliizoprenic Glucoza 5% 80 / 10 & 10 / 1.25 mg/ml 25°C Neprecizat
24 Ora
604
Documentele de stabilitate ale producătorului

Elastomer poliizoprenic Glucoza 5% 80 / 10 & 10 / 1.25 mg/ml 4°C Ferit de lumina
7 Ziua
604
Documentele de stabilitate ale producătorului

Elastomer poliizoprenic NaCl 0,9% citrat de tampon 0,3% pH7 22 / 3 mg/ml 2-8°C Neprecizat
13 Ziua
4512
Nivel de evidență A+

Elastomer poliizoprenic NaCl 0,9% citrat de tampon 0,3% pH7 22 / 3 mg/ml 32°C Neprecizat
24 Ora
4512
Nivel de evidență A+

Elastomer poliizoprenic NaCl 0,9% citrat de tampon 0,3% pH7 80 / 10 mg/ml 2-8°C Neprecizat
13 Ziua
4512
Nivel de evidență A+

Elastomer poliizoprenic NaCl 0,9% citrat de tampon 0,3% pH7 80 / 10 mg/ml 32°C Neprecizat
24 Ora
4512
Nivel de evidență A+

Elastomer siliconic NaCl 0,9% citrat de tampon 0,3% pH7 22 / 3 mg/ml 2-8°C Neprecizat
13 Ziua
4512
Nivel de evidență A+

Elastomer siliconic NaCl 0,9% citrat de tampon 0,3% pH7 22 / 3 mg/ml 32°C Neprecizat
24 Ora
4512
Nivel de evidență A+

Elastomer siliconic NaCl 0,9% citrat de tampon 0,3% pH7 80 / 10 mg/ml 2-8°C Neprecizat
13 Ziua
4512
Nivel de evidență A+

Elastomer siliconic NaCl 0,9% citrat de tampon 0,3% pH7 80 / 10 mg/ml 32°C Neprecizat
24 Ora
4512
Nivel de evidență A+

Elastomer (nespecificat) apa pentru preparate injectabile 128 / 16 mg/ml 25°C Neprecizat
72 Ora
2042
Nivel de evidență D

Elastomer (nespecificat) apa pentru preparate injectabile 128 / 16 mg/ml 37°C Neprecizat
24 Ora
2042
Nivel de evidență D

neprecizat clorura de sodiu 0,9% 40 / 5 mg/ml 22-23°C Ferit de lumina
24 Ora
4758
Nivel de evidență B

neprecizat Dianéal® PD2 4.25% Glucoza (Baxter) 0.2 / 0.025 mg/ml 23°C Neprecizat
7 Ziua
2451
Nivel de evidență A

neprecizat Dianéal® PD2 4.25% Glucoza (Baxter) 0.2 / 0.025 mg/ml 37°C Neprecizat
24 Ora
2451
Nivel de evidență A

neprecizat Dianéal® PD2 4.25% Glucoza (Baxter) 0.2 / 0.025 mg/ml 4°C Neprecizat
14 Ziua
2451
Nivel de evidență A

neprecizat Dianéal® PD2 1.5% Glucoza (Baxter) 0.2 / 0.025 mg/ml 23°C Neprecizat
7 Ziua
2451
Nivel de evidență A

neprecizat Dianéal® PD2 1.5% Glucoza (Baxter) 0.2 / 0.025 mg/ml 37°C Neprecizat
24 Ora
2451
Nivel de evidență A

neprecizat Dianéal® PD2 1.5% Glucoza (Baxter) 0.2 / 0.025 mg/ml 4°C Neprecizat
14 Ziua
2451
Nivel de evidență A


  Mentions Légales