Laatste update :
17/12/2025
Antibioticum   Piperacillin sodium / tazobactam  
injecteerbaar geneesmiddel
Stabiliteit in oplossing Stabiliteit in mengsels Factoren die de stabiliteit beïnvloeden Verenigbaarheden Toedieningswijze Literatuur pdf
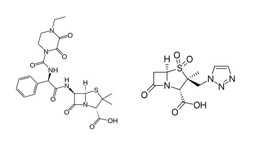
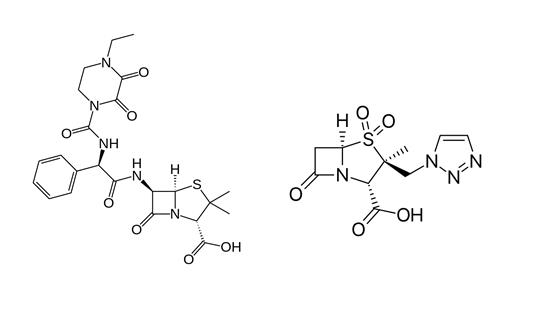
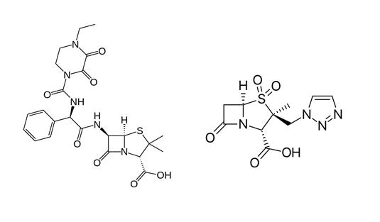
   Molecuulstructuur  

Merknamen in verschillende landen   Merknamen in verschillende landen     

Handelsnamen zijn slechts een indicatie; de samenstelling van hulpstoffen kan per land variëren afhankelijk van de fabrikant

Bagotaz Argentinië
Betampil Ecuador
Bioval Chili
Petezam Argentinië
Piperac Duitsland
Piperacillin tazobactam België, Canada, Duitsland
Piperazam Brazilië
Pipetazo Chili
Pipitaz Oostenrijk
Pixamol Colombia
Tazobac Ecuador, Italië, Portugal, Zwitserland
Tazocel Spanje
Tazocilline Frankrijk
Tazocin Argentinië, Australië, Brazilië, Colombia, Denemarken, Egypte, Finland, Griekenland, Groot Britannië, Hongarije, Italië, Kroatië, Luxemburg, Mexico, Nederland, nieuw Zeeland, Noord-ierland, Noorwegen, Peru, Polen, Turkije, Verenigde Arabische Emiraten, Zuid-Afrika, Zweden
Tazonam Chili, Oostenrijk
Tazopip Australië
Tazpen Colombia, Mexico
Tazrobida Colombia
Tigux Chili
Tratac Chili
Trital Ecuador
Zosyn Japan, USA
Stabiliteit in oplossing   injecteerbaar geneesmiddel   Stabiliteit in oplossing : Piperacillin sodium / tazobactam     
Verpakking Oplosmiddel Concentratie Temperatuur Bewaring Duur van de stabiliteit Literatuur
Glas Water voor injectie 20/2,5 mg/ml 2-8°C Buiten invloed van licht
2 Dag
4922
Bewijsniveau D

Glas NaCl 0.9% + fenol 0.4% 20/2,5 mg/ml 2-8°C Buiten invloed van licht
2 Dag
4922
Bewijsniveau D

Polyvinylchloride (PVC) Natriumchloride 0,9% 20 / 2.5 mg/ml 23°C
72 Uur
2345
Bewijsniveau A

Polyvinylchloride (PVC) Natriumchloride 0,9% 20 / 2.5 mg/ml 5°C Buiten invloed van licht
28 Dag
2345
Bewijsniveau A

Polyvinylchloride (PVC) Natriumchloride 0,9% 40 / 5 mg/ml 25°C Licht
4 Dag
2026
Bewijsniveau B

Polyvinylchloride (PVC) Natriumchloride 0,9% 40 / 5 mg/ml 7°C Buiten invloed van licht
5 Dag
2026
Bewijsniveau B

Polyvinylchloride (PVC) Natriumchloride 0,9% 80 / 10 mg/ml -15°C Buiten invloed van licht
30 Dag
274
Bewijsniveau D

Polyvinylchloride (PVC) Natriumchloride 0,9% 80 / 10 mg/ml 25°C Niet gespecificeerd
24 Uur
274
Bewijsniveau D

Polyvinylchloride (PVC) Natriumchloride 0,9% 80 / 10 mg/ml 4°C Buiten invloed van licht
7 Dag
274
Bewijsniveau D

Polyvinylchloride (PVC) Glucose 5% 33.3 / 4.1 mg/ml -20°C Buiten invloed van licht
90 Dag
1946

Polyvinylchloride (PVC) Glucose 5% 33.3 / 4.1 mg/ml 4°C Niet gespecificeerd
35 Dag
1946

Polyvinylchloride (PVC) Glucose 5% 80 / 10 mg/ml -15°C Buiten invloed van licht
30 Dag
274
Bewijsniveau D

Polyvinylchloride (PVC) Glucose 5% 80 / 10 mg/ml 23°C
72 Uur
2345
Bewijsniveau A

Polyvinylchloride (PVC) Glucose 5% 80 / 10 mg/ml 25°C Niet gespecificeerd
24 Uur
274
Bewijsniveau D

Polyvinylchloride (PVC) Glucose 5% 80 / 10 mg/ml 4°C Buiten invloed van licht
7 Dag
274
Bewijsniveau D

Polyvinylchloride (PVC) Glucose 5% 80 / 10 mg/ml 5°C Buiten invloed van licht
28 Dag
2345
Bewijsniveau A

Polyolefine Natriumchloride 0,9% 40 / 5 mg/ml 25°C Licht
3 Dag
2026
Bewijsniveau B

Polyolefine Natriumchloride 0,9% 40 / 5 mg/ml 7°C Buiten invloed van licht
17 Dag
2026
Bewijsniveau B

Polyolefine Natriumchloride 0,9% 50.6 / 6.3 mg/ml 2-8°C Niet gespecificeerd
17 Dag
4620
Bewijsniveau A+

Polyolefine Natriumchloride 0,9% 50.6 / 6.3 mg/ml 25°C Niet gespecificeerd
3 Uur
4620
Bewijsniveau A+

Polyolefine Glucose 5% 33,3 / 4,1 mg/ml -20°C Buiten invloed van licht
90 Dag
4148
Bewijsniveau D

Polyolefine Glucose 5% 33,3 / 4,1 mg/ml 2-8°C Niet gespecificeerd
58 Dag
4148
Bewijsniveau D

Polyolefine Glucose 5% 50.6 / 6.3 mg/ml 2-8°C Niet gespecificeerd
17 Dag
4621
Bewijsniveau A+

Polyolefine Glucose 5% 50.6 / 6.3 mg/ml 25°C Niet gespecificeerd
3 Uur
4621
Bewijsniveau A+

injectiespuit polypropyleen Water voor injectie 20/2,5 mg/ml 2-8°C Buiten invloed van licht
2 Dag
4922
Bewijsniveau D

injectiespuit polypropyleen Natriumchloride 0,9% 125/15,6 mg/ml 20-25°C Licht
48 Uur
4634
Bewijsniveau C+

injectiespuit polypropyleen Natriumchloride 0,9% 150 / 18,75 mg/ml 4°C Buiten invloed van licht
7 Dag
274
Bewijsniveau D

injectiespuit polypropyleen Natriumchloride 0,9% 150 / 18.75 mg/ml -15°C Buiten invloed van licht
30 Dag
274
Bewijsniveau D

injectiespuit polypropyleen Natriumchloride 0,9% 150 / 18.75 mg/ml 25°C Niet gespecificeerd
24 Uur
274
Bewijsniveau D

injectiespuit polypropyleen Natriumchloride 0,9% 200 / 25 mg/ml -15°C Buiten invloed van licht
30 Dag
274
Bewijsniveau D

injectiespuit polypropyleen Natriumchloride 0,9% 200 / 25 mg/ml 25°C Niet gespecificeerd
24 Uur
274
Bewijsniveau D

injectiespuit polypropyleen Natriumchloride 0,9% 200 / 25 mg/ml 4°C Buiten invloed van licht
7 Dag
274
Bewijsniveau D

injectiespuit polypropyleen Natriumchloride 0,9% 80 / 10 mg/ml 25°C Licht
12 Uur
4326
Bewijsniveau B

injectiespuit polypropyleen Glucose 5% 125/15,6 mg/ml 20-25°C Licht
48 Uur
4634
Bewijsniveau C+

injectiespuit polypropyleen Glucose 5% 150 / 18,75 mg/ml 4°C Buiten invloed van licht
7 Dag
274
Bewijsniveau D

injectiespuit polypropyleen Glucose 5% 150 / 18.75 mg/ml -15°C Buiten invloed van licht
30 Dag
274
Bewijsniveau D

injectiespuit polypropyleen Glucose 5% 150 / 18.75 mg/ml 25°C Niet gespecificeerd
24 Uur
274
Bewijsniveau D

injectiespuit polypropyleen Glucose 5% 200 / 25 mg/ml -15°C Buiten invloed van licht
30 Dag
274
Bewijsniveau D

injectiespuit polypropyleen Glucose 5% 200 / 25 mg/ml 25°C Niet gespecificeerd
24 Uur
274
Bewijsniveau D

injectiespuit polypropyleen Glucose 5% 200 / 25 mg/ml 4°C Buiten invloed van licht
7 Dag
274
Bewijsniveau D

injectiespuit polypropyleen NaCl 0.9% + fenol 0.4% 20/2,5 mg/ml 2-8°C Buiten invloed van licht
2 Dag
4922
Bewijsniveau D

Polyisopreen elastomeer Natriumchloride 0,9% 50 / 6,25 mg/ml 32°C Buiten invloed van licht
24 Uur
4850
Bewijsniveau A+

Polyisopreen elastomeer Natriumchloride 0,9% 66,7/8,3 mg/ml 37°C Buiten invloed van licht
8 Uur
4634
Bewijsniveau C+

Polyisopreen elastomeer Natriumchloride 0,9% 80 / 10 & 10 / 1.25 mg/ml 25°C Niet gespecificeerd
24 Uur
604
Stabiliteitsgegevens van de fabrikant

Polyisopreen elastomeer Natriumchloride 0,9% 80 / 10 & 10 / 1.25 mg/ml 4°C Buiten invloed van licht
7 Dag
604
Stabiliteitsgegevens van de fabrikant

Polyisopreen elastomeer Glucose 5% 66,7/8,3 mg/ml 37°C Buiten invloed van licht
24 Uur
4634
Bewijsniveau C+

Polyisopreen elastomeer Glucose 5% 80 / 10 & 10 / 1.25 mg/ml 25°C Niet gespecificeerd
24 Uur
604
Stabiliteitsgegevens van de fabrikant

Polyisopreen elastomeer Glucose 5% 80 / 10 & 10 / 1.25 mg/ml 4°C Buiten invloed van licht
7 Dag
604
Stabiliteitsgegevens van de fabrikant

Polyisopreen elastomeer 0.9% NaCl 0,3% citraatbuffer pH7 22 / 3 mg/ml 2-8°C Niet gespecificeerd
13 Dag
4512
Bewijsniveau A+

Polyisopreen elastomeer 0.9% NaCl 0,3% citraatbuffer pH7 22 / 3 mg/ml 32°C Niet gespecificeerd
24 Uur
4512
Bewijsniveau A+

Polyisopreen elastomeer 0.9% NaCl 0,3% citraatbuffer pH7 80 / 10 mg/ml 2-8°C Niet gespecificeerd
13 Dag
4512
Bewijsniveau A+

Polyisopreen elastomeer 0.9% NaCl 0,3% citraatbuffer pH7 80 / 10 mg/ml 32°C Niet gespecificeerd
24 Uur
4512
Bewijsniveau A+

Siliconenelastomeer 0.9% NaCl 0,3% citraatbuffer pH7 22 / 3 mg/ml 2-8°C Niet gespecificeerd
13 Dag
4512
Bewijsniveau A+

Siliconenelastomeer 0.9% NaCl 0,3% citraatbuffer pH7 22 / 3 mg/ml 32°C Niet gespecificeerd
24 Uur
4512
Bewijsniveau A+

Siliconenelastomeer 0.9% NaCl 0,3% citraatbuffer pH7 80 / 10 mg/ml 2-8°C Niet gespecificeerd
13 Dag
4512
Bewijsniveau A+

Siliconenelastomeer 0.9% NaCl 0,3% citraatbuffer pH7 80 / 10 mg/ml 32°C Niet gespecificeerd
24 Uur
4512
Bewijsniveau A+

Elastomeer (niet gespecificeerd) Water voor injectie 128 / 16 mg/ml 25°C Niet gespecificeerd
72 Uur
2042
Bewijsniveau D

Elastomeer (niet gespecificeerd) Water voor injectie 128 / 16 mg/ml 37°C Niet gespecificeerd
24 Uur
2042
Bewijsniveau D

Niet gespecificeerd Natriumchloride 0,9% 40 / 5 mg/ml 22-23°C Buiten invloed van licht
24 Uur
4758
Bewijsniveau B

Niet gespecificeerd Dianéal® PD2 4.25% Glucose (Baxter) 0.2 / 0.025 mg/ml 23°C Niet gespecificeerd
7 Dag
2451
Bewijsniveau A

Niet gespecificeerd Dianéal® PD2 4.25% Glucose (Baxter) 0.2 / 0.025 mg/ml 37°C Niet gespecificeerd
24 Uur
2451
Bewijsniveau A

Niet gespecificeerd Dianéal® PD2 4.25% Glucose (Baxter) 0.2 / 0.025 mg/ml 4°C Niet gespecificeerd
14 Dag
2451
Bewijsniveau A

Niet gespecificeerd Dianéal® PD2 1.5% Glucose (Baxter) 0.2 / 0.025 mg/ml 23°C Niet gespecificeerd
7 Dag
2451
Bewijsniveau A

Niet gespecificeerd Dianéal® PD2 1.5% Glucose (Baxter) 0.2 / 0.025 mg/ml 37°C Niet gespecificeerd
24 Uur
2451
Bewijsniveau A

Niet gespecificeerd Dianéal® PD2 1.5% Glucose (Baxter) 0.2 / 0.025 mg/ml 4°C Niet gespecificeerd
14 Dag
2451
Bewijsniveau A


  Mentions Légales