最新更新 :
17/12/2025
抗生素   Piperacillin sodium / tazobactam  
注射液
溶液稳定性 混合物稳定性 影响稳定性的因素 兼容性 用药途径 引用文献 PDF
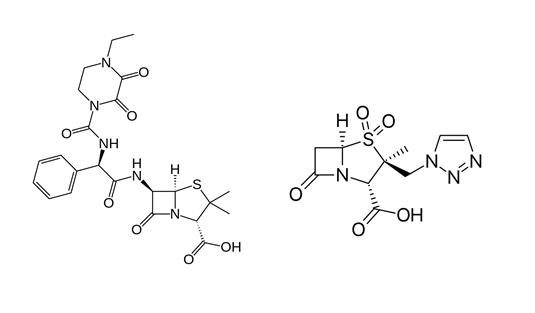
   化学式  

商品名   商品名     

商品名仅供参考, 药品所用的辅料可能依国家或厂商不同有所不同。

Bagotaz 阿根廷
Betampil 厄瓜多尔
Bioval 智利
Petezam 阿根廷
Piperac 德国
Piperacillin tazobactam 加拿大, 德国, 比利时
Piperazam 巴西
Pipetazo 智利
Pipitaz 奥地利
Pixamol 哥伦比亚
Tazobac 厄瓜多尔, 意大利, 瑞士, 葡萄牙
Tazocel 西班牙
Tazocilline 法国
Tazocin 丹麦, 克罗地亚, 匈牙利, 北愛爾蘭, 南非, 卢森堡, 哥伦比亚, 土耳其, 埃及, 墨西哥, 巴西, 希腊, 意大利, 挪威, 新西蘭, 波兰, 澳大利亚, 瑞典, 秘鲁, 芬兰, 英国, 荷兰, 阿根廷, 阿联酋
Tazonam 奥地利, 智利
Tazopip 澳大利亚
Tazpen 哥伦比亚, 墨西哥
Tazrobida 哥伦比亚
Tigux 智利
Tratac 智利
Trital 厄瓜多尔
Zosyn 日本, 美国
溶液稳定性   注射液   溶液稳定性 : Piperacillin sodium / tazobactam     
容器 溶剂 浓度 温度 保存 穩定持續時間 引用文献
玻璃 注射用水 20/2,5 mg/ml 2-8°C 避光
2 白天
4922
D级

玻璃 NaCl 0.9% + 苯酚 0.4% 20/2,5 mg/ml 2-8°C 避光
2 白天
4922
D级

聚氯乙烯 NaCl 0,9% 20 / 2.5 mg/ml 23°C
72 小时
2345
A级

聚氯乙烯 NaCl 0,9% 20 / 2.5 mg/ml 5°C 避光
28 白天
2345
A级

聚氯乙烯 NaCl 0,9% 40 / 5 mg/ml 25°C 光
4 白天
2026
B级

聚氯乙烯 NaCl 0,9% 40 / 5 mg/ml 7°C 避光
5 白天
2026
B级

聚氯乙烯 NaCl 0,9% 80 / 10 mg/ml -15°C 避光
30 白天
274
D级

聚氯乙烯 NaCl 0,9% 80 / 10 mg/ml 25°C 无特殊要求
24 小时
274
D级

聚氯乙烯 NaCl 0,9% 80 / 10 mg/ml 4°C 避光
7 白天
274
D级

聚氯乙烯 葡萄糖5% 33.3 / 4.1 mg/ml -20°C 避光
90 白天
1946

聚氯乙烯 葡萄糖5% 33.3 / 4.1 mg/ml 4°C 无特殊要求
35 白天
1946

聚氯乙烯 葡萄糖5% 80 / 10 mg/ml -15°C 避光
30 白天
274
D级

聚氯乙烯 葡萄糖5% 80 / 10 mg/ml 23°C
72 小时
2345
A级

聚氯乙烯 葡萄糖5% 80 / 10 mg/ml 25°C 无特殊要求
24 小时
274
D级

聚氯乙烯 葡萄糖5% 80 / 10 mg/ml 4°C 避光
7 白天
274
D级

聚氯乙烯 葡萄糖5% 80 / 10 mg/ml 5°C 避光
28 白天
2345
A级

聚烯烃 NaCl 0,9% 40 / 5 mg/ml 25°C 光
3 白天
2026
B级

聚烯烃 NaCl 0,9% 40 / 5 mg/ml 7°C 避光
17 白天
2026
B级

聚烯烃 NaCl 0,9% 50.6 / 6.3 mg/ml 2-8°C 无特殊要求
17 白天
4620
A+级

聚烯烃 NaCl 0,9% 50.6 / 6.3 mg/ml 25°C 无特殊要求
3 小时
4620
A+级

聚烯烃 葡萄糖5% 33,3 / 4,1 mg/ml -20°C 避光
90 白天
4148
D级

聚烯烃 葡萄糖5% 33,3 / 4,1 mg/ml 2-8°C 无特殊要求
58 白天
4148
D级

聚烯烃 葡萄糖5% 50.6 / 6.3 mg/ml 2-8°C 无特殊要求
17 白天
4621
A+级

聚烯烃 葡萄糖5% 50.6 / 6.3 mg/ml 25°C 无特殊要求
3 小时
4621
A+级

注射器  聚丙烯 注射用水 20/2,5 mg/ml 2-8°C 避光
2 白天
4922
D级

注射器  聚丙烯 NaCl 0,9% 125/15,6 mg/ml 20-25°C 光
48 小时
4634
C+级

注射器  聚丙烯 NaCl 0,9% 150 / 18,75 mg/ml 4°C 避光
7 白天
274
D级

注射器  聚丙烯 NaCl 0,9% 150 / 18.75 mg/ml -15°C 避光
30 白天
274
D级

注射器  聚丙烯 NaCl 0,9% 150 / 18.75 mg/ml 25°C 无特殊要求
24 小时
274
D级

注射器  聚丙烯 NaCl 0,9% 200 / 25 mg/ml -15°C 避光
30 白天
274
D级

注射器  聚丙烯 NaCl 0,9% 200 / 25 mg/ml 25°C 无特殊要求
24 小时
274
D级

注射器  聚丙烯 NaCl 0,9% 200 / 25 mg/ml 4°C 避光
7 白天
274
D级

注射器  聚丙烯 NaCl 0,9% 80 / 10 mg/ml 25°C 光
12 小时
4326
B级

注射器  聚丙烯 葡萄糖5% 125/15,6 mg/ml 20-25°C 光
48 小时
4634
C+级

注射器  聚丙烯 葡萄糖5% 150 / 18,75 mg/ml 4°C 避光
7 白天
274
D级

注射器  聚丙烯 葡萄糖5% 150 / 18.75 mg/ml -15°C 避光
30 白天
274
D级

注射器  聚丙烯 葡萄糖5% 150 / 18.75 mg/ml 25°C 无特殊要求
24 小时
274
D级

注射器  聚丙烯 葡萄糖5% 200 / 25 mg/ml -15°C 避光
30 白天
274
D级

注射器  聚丙烯 葡萄糖5% 200 / 25 mg/ml 25°C 无特殊要求
24 小时
274
D级

注射器  聚丙烯 葡萄糖5% 200 / 25 mg/ml 4°C 避光
7 白天
274
D级

注射器  聚丙烯 NaCl 0.9% + 苯酚 0.4% 20/2,5 mg/ml 2-8°C 避光
2 白天
4922
D级

聚異戊二烯彈性體 NaCl 0,9% 50 / 6,25 mg/ml 32°C 避光
24 小时
4850
A+级

聚異戊二烯彈性體 NaCl 0,9% 66,7/8,3 mg/ml 37°C 避光
8 小时
4634
C+级

聚異戊二烯彈性體 NaCl 0,9% 80 / 10 & 10 / 1.25 mg/ml 25°C 无特殊要求
24 小时
604
生产厂家提供的稳定性数据

聚異戊二烯彈性體 NaCl 0,9% 80 / 10 & 10 / 1.25 mg/ml 4°C 避光
7 白天
604
生产厂家提供的稳定性数据

聚異戊二烯彈性體 葡萄糖5% 66,7/8,3 mg/ml 37°C 避光
24 小时
4634
C+级

聚異戊二烯彈性體 葡萄糖5% 80 / 10 & 10 / 1.25 mg/ml 25°C 无特殊要求
24 小时
604
生产厂家提供的稳定性数据

聚異戊二烯彈性體 葡萄糖5% 80 / 10 & 10 / 1.25 mg/ml 4°C 避光
7 白天
604
生产厂家提供的稳定性数据

聚異戊二烯彈性體 氯化鈉0.9%檸檬酸鹽緩衝液0.3%pH7 22 / 3 mg/ml 2-8°C 无特殊要求
13 白天
4512
A+级

聚異戊二烯彈性體 氯化鈉0.9%檸檬酸鹽緩衝液0.3%pH7 22 / 3 mg/ml 32°C 无特殊要求
24 小时
4512
A+级

聚異戊二烯彈性體 氯化鈉0.9%檸檬酸鹽緩衝液0.3%pH7 80 / 10 mg/ml 2-8°C 无特殊要求
13 白天
4512
A+级

聚異戊二烯彈性體 氯化鈉0.9%檸檬酸鹽緩衝液0.3%pH7 80 / 10 mg/ml 32°C 无特殊要求
24 小时
4512
A+级

有機矽彈性體 氯化鈉0.9%檸檬酸鹽緩衝液0.3%pH7 22 / 3 mg/ml 2-8°C 无特殊要求
13 白天
4512
A+级

有機矽彈性體 氯化鈉0.9%檸檬酸鹽緩衝液0.3%pH7 22 / 3 mg/ml 32°C 无特殊要求
24 小时
4512
A+级

有機矽彈性體 氯化鈉0.9%檸檬酸鹽緩衝液0.3%pH7 80 / 10 mg/ml 2-8°C 无特殊要求
13 白天
4512
A+级

有機矽彈性體 氯化鈉0.9%檸檬酸鹽緩衝液0.3%pH7 80 / 10 mg/ml 32°C 无特殊要求
24 小时
4512
A+级

彈性體(未指定) 注射用水 128 / 16 mg/ml 25°C 无特殊要求
72 小时
2042
D级

彈性體(未指定) 注射用水 128 / 16 mg/ml 37°C 无特殊要求
24 小时
2042
D级

不详 NaCl 0,9% 40 / 5 mg/ml 22-23°C 避光
24 小时
4758
B级

不详 Dianéal® PD2 4.25% 葡萄糖(Baxter) 0.2 / 0.025 mg/ml 23°C 无特殊要求
7 白天
2451
A级

不详 Dianéal® PD2 4.25% 葡萄糖(Baxter) 0.2 / 0.025 mg/ml 37°C 无特殊要求
24 小时
2451
A级

不详 Dianéal® PD2 4.25% 葡萄糖(Baxter) 0.2 / 0.025 mg/ml 4°C 无特殊要求
14 白天
2451
A级

不详 Dianéal® PD2 1.5% 葡萄糖 (Baxter) 0.2 / 0.025 mg/ml 23°C 无特殊要求
7 白天
2451
A级

不详 Dianéal® PD2 1.5% 葡萄糖 (Baxter) 0.2 / 0.025 mg/ml 37°C 无特殊要求
24 小时
2451
A级

不详 Dianéal® PD2 1.5% 葡萄糖 (Baxter) 0.2 / 0.025 mg/ml 4°C 无特殊要求
14 白天
2451
A级


  Mentions Légales