Τελευταία ενημέρωση :
17/12/2025
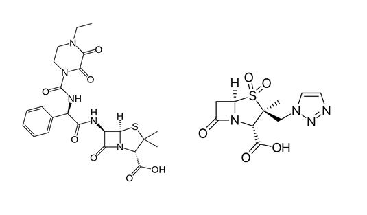
Αντιβιοτικό   Piperacillin sodium / tazobactam  
Ενέσιμο
Σταθερότητα διαλυμάτων Σταθερότητα σε μίγματα Παράγοντας που επηρεάζει τη σταθερότητα Συμβατότητες Τρόπος χορήγησης Βιβλιογραφία pdf
   χημική δομή  

Εμπορική ονομασία   Εμπορική ονομασία     

Οι εμπορικές ονομασίες είναι ενδεικτικές και η σύνθεση των εκδόχων μπορεί να διαφέρει ανάλογα με τη χώρα και τα εργαστήρια

Bagotaz Αργεντινή
Betampil Εκουαδόρ
Bioval Χιλή
Petezam Αργεντινή
Piperac Γερμανία
Piperacillin tazobactam Βέλγιο, Γερμανία, Καναδάς
Piperazam Βραζιλία
Pipetazo Χιλή
Pipitaz Αυστρία
Pixamol Κολομβία
Tazobac Εκουαδόρ, Ελβετία, Ιταλία, Πορτογαλία
Tazocel Ισπανία
Tazocilline Γαλλία
Tazocin Yhdistyneet arabiemiirikunnat, Αίγυπτος, Αργεντινή, Αυστραλία, Βόρεια Ιρλανδία, Βραζιλία, Δανία, Ελλάδα, Ιταλία, Κολομβία, Κροατία, Λουξεμβούργο, Μεγάλη Βρετανία, Μεξικό, νέα Ζηλανδία, Νορβηγία, Νότιος Αφρική, Ολλανδία, Ουγγαρία, Περού, Πολωνία, Σουηδία, Τουρκία, Φινλανδία
Tazonam Αυστρία, Χιλή
Tazopip Αυστραλία
Tazpen Κολομβία, Μεξικό
Tazrobida Κολομβία
Tigux Χιλή
Tratac Χιλή
Trital Εκουαδόρ
Zosyn Η.Π.Α., Ιαπωνία
Σταθερότητα διαλυμάτων   Ενέσιμο   Σταθερότητα διαλυμάτων : Piperacillin sodium / tazobactam     
Υποδοχέας Διαλυτικό Συγκέντρωση Θερμοκρασία Αποθήκευση Διάρκεια σταθερότητας Βιβλιογραφία
Ύαλος Ενέσιμο ύδωρ 20/2,5 mg/ml 2-8°C Προστατεύετε από το φως
2 Ημέρα
4922
Επίπεδο των αποδεικτικών στοιχείων D

Ύαλος NaCl 0.9% + φαινόλη 0.4% 20/2,5 mg/ml 2-8°C Προστατεύετε από το φως
2 Ημέρα
4922
Επίπεδο των αποδεικτικών στοιχείων D

Πολυβινυλοχλωρίδιο Χλωριούχο νάτριο 0,9% 20 / 2.5 mg/ml 23°C
72 Ώρα
2345
Επίπεδο των αποδεικτικών στοιχείων A

Πολυβινυλοχλωρίδιο Χλωριούχο νάτριο 0,9% 20 / 2.5 mg/ml 5°C Προστατεύετε από το φως
28 Ημέρα
2345
Επίπεδο των αποδεικτικών στοιχείων A

Πολυβινυλοχλωρίδιο Χλωριούχο νάτριο 0,9% 40 / 5 mg/ml 25°C Φως
4 Ημέρα
2026
Επίπεδο των αποδεικτικών στοιχείων B

Πολυβινυλοχλωρίδιο Χλωριούχο νάτριο 0,9% 40 / 5 mg/ml 7°C Προστατεύετε από το φως
5 Ημέρα
2026
Επίπεδο των αποδεικτικών στοιχείων B

Πολυβινυλοχλωρίδιο Χλωριούχο νάτριο 0,9% 80 / 10 mg/ml -15°C Προστατεύετε από το φως
30 Ημέρα
274
Επίπεδο των αποδεικτικών στοιχείων D

Πολυβινυλοχλωρίδιο Χλωριούχο νάτριο 0,9% 80 / 10 mg/ml 25°C Απροσδιόριστο
24 Ώρα
274
Επίπεδο των αποδεικτικών στοιχείων D

Πολυβινυλοχλωρίδιο Χλωριούχο νάτριο 0,9% 80 / 10 mg/ml 4°C Προστατεύετε από το φως
7 Ημέρα
274
Επίπεδο των αποδεικτικών στοιχείων D

Πολυβινυλοχλωρίδιο Γλυκόζη 5% 33.3 / 4.1 mg/ml -20°C Προστατεύετε από το φως
90 Ημέρα
1946

Πολυβινυλοχλωρίδιο Γλυκόζη 5% 33.3 / 4.1 mg/ml 4°C Απροσδιόριστο
35 Ημέρα
1946

Πολυβινυλοχλωρίδιο Γλυκόζη 5% 80 / 10 mg/ml -15°C Προστατεύετε από το φως
30 Ημέρα
274
Επίπεδο των αποδεικτικών στοιχείων D

Πολυβινυλοχλωρίδιο Γλυκόζη 5% 80 / 10 mg/ml 23°C
72 Ώρα
2345
Επίπεδο των αποδεικτικών στοιχείων A

Πολυβινυλοχλωρίδιο Γλυκόζη 5% 80 / 10 mg/ml 25°C Απροσδιόριστο
24 Ώρα
274
Επίπεδο των αποδεικτικών στοιχείων D

Πολυβινυλοχλωρίδιο Γλυκόζη 5% 80 / 10 mg/ml 4°C Προστατεύετε από το φως
7 Ημέρα
274
Επίπεδο των αποδεικτικών στοιχείων D

Πολυβινυλοχλωρίδιο Γλυκόζη 5% 80 / 10 mg/ml 5°C Προστατεύετε από το φως
28 Ημέρα
2345
Επίπεδο των αποδεικτικών στοιχείων A

Πολυολεφίνη Χλωριούχο νάτριο 0,9% 40 / 5 mg/ml 25°C Φως
3 Ημέρα
2026
Επίπεδο των αποδεικτικών στοιχείων B

Πολυολεφίνη Χλωριούχο νάτριο 0,9% 40 / 5 mg/ml 7°C Προστατεύετε από το φως
17 Ημέρα
2026
Επίπεδο των αποδεικτικών στοιχείων B

Πολυολεφίνη Χλωριούχο νάτριο 0,9% 50.6 / 6.3 mg/ml 2-8°C Απροσδιόριστο
17 Ημέρα
4620
Επίπεδο των αποδεικτικών στοιχείων A+

Πολυολεφίνη Χλωριούχο νάτριο 0,9% 50.6 / 6.3 mg/ml 25°C Απροσδιόριστο
3 Ώρα
4620
Επίπεδο των αποδεικτικών στοιχείων A+

Πολυολεφίνη Γλυκόζη 5% 33,3 / 4,1 mg/ml -20°C Προστατεύετε από το φως
90 Ημέρα
4148
Επίπεδο των αποδεικτικών στοιχείων D

Πολυολεφίνη Γλυκόζη 5% 33,3 / 4,1 mg/ml 2-8°C Απροσδιόριστο
58 Ημέρα
4148
Επίπεδο των αποδεικτικών στοιχείων D

Πολυολεφίνη Γλυκόζη 5% 50.6 / 6.3 mg/ml 2-8°C Απροσδιόριστο
17 Ημέρα
4621
Επίπεδο των αποδεικτικών στοιχείων A+

Πολυολεφίνη Γλυκόζη 5% 50.6 / 6.3 mg/ml 25°C Απροσδιόριστο
3 Ώρα
4621
Επίπεδο των αποδεικτικών στοιχείων A+

σύριγγα πολυπροπυλένιο Ενέσιμο ύδωρ 20/2,5 mg/ml 2-8°C Προστατεύετε από το φως
2 Ημέρα
4922
Επίπεδο των αποδεικτικών στοιχείων D

σύριγγα πολυπροπυλένιο Χλωριούχο νάτριο 0,9% 125/15,6 mg/ml 20-25°C Φως
48 Ώρα
4634
Επίπεδο των αποδεικτικών στοιχείων C+

σύριγγα πολυπροπυλένιο Χλωριούχο νάτριο 0,9% 150 / 18,75 mg/ml 4°C Προστατεύετε από το φως
7 Ημέρα
274
Επίπεδο των αποδεικτικών στοιχείων D

σύριγγα πολυπροπυλένιο Χλωριούχο νάτριο 0,9% 150 / 18.75 mg/ml -15°C Προστατεύετε από το φως
30 Ημέρα
274
Επίπεδο των αποδεικτικών στοιχείων D

σύριγγα πολυπροπυλένιο Χλωριούχο νάτριο 0,9% 150 / 18.75 mg/ml 25°C Απροσδιόριστο
24 Ώρα
274
Επίπεδο των αποδεικτικών στοιχείων D

σύριγγα πολυπροπυλένιο Χλωριούχο νάτριο 0,9% 200 / 25 mg/ml -15°C Προστατεύετε από το φως
30 Ημέρα
274
Επίπεδο των αποδεικτικών στοιχείων D

σύριγγα πολυπροπυλένιο Χλωριούχο νάτριο 0,9% 200 / 25 mg/ml 25°C Απροσδιόριστο
24 Ώρα
274
Επίπεδο των αποδεικτικών στοιχείων D

σύριγγα πολυπροπυλένιο Χλωριούχο νάτριο 0,9% 200 / 25 mg/ml 4°C Προστατεύετε από το φως
7 Ημέρα
274
Επίπεδο των αποδεικτικών στοιχείων D

σύριγγα πολυπροπυλένιο Χλωριούχο νάτριο 0,9% 80 / 10 mg/ml 25°C Φως
12 Ώρα
4326
Επίπεδο των αποδεικτικών στοιχείων B

σύριγγα πολυπροπυλένιο Γλυκόζη 5% 125/15,6 mg/ml 20-25°C Φως
48 Ώρα
4634
Επίπεδο των αποδεικτικών στοιχείων C+

σύριγγα πολυπροπυλένιο Γλυκόζη 5% 150 / 18,75 mg/ml 4°C Προστατεύετε από το φως
7 Ημέρα
274
Επίπεδο των αποδεικτικών στοιχείων D

σύριγγα πολυπροπυλένιο Γλυκόζη 5% 150 / 18.75 mg/ml -15°C Προστατεύετε από το φως
30 Ημέρα
274
Επίπεδο των αποδεικτικών στοιχείων D

σύριγγα πολυπροπυλένιο Γλυκόζη 5% 150 / 18.75 mg/ml 25°C Απροσδιόριστο
24 Ώρα
274
Επίπεδο των αποδεικτικών στοιχείων D

σύριγγα πολυπροπυλένιο Γλυκόζη 5% 200 / 25 mg/ml -15°C Προστατεύετε από το φως
30 Ημέρα
274
Επίπεδο των αποδεικτικών στοιχείων D

σύριγγα πολυπροπυλένιο Γλυκόζη 5% 200 / 25 mg/ml 25°C Απροσδιόριστο
24 Ώρα
274
Επίπεδο των αποδεικτικών στοιχείων D

σύριγγα πολυπροπυλένιο Γλυκόζη 5% 200 / 25 mg/ml 4°C Προστατεύετε από το φως
7 Ημέρα
274
Επίπεδο των αποδεικτικών στοιχείων D

σύριγγα πολυπροπυλένιο NaCl 0.9% + φαινόλη 0.4% 20/2,5 mg/ml 2-8°C Προστατεύετε από το φως
2 Ημέρα
4922
Επίπεδο των αποδεικτικών στοιχείων D

Ελαστομερές πολυισοπρένιο Χλωριούχο νάτριο 0,9% 50 / 6,25 mg/ml 32°C Προστατεύετε από το φως
24 Ώρα
4850
Επίπεδο των αποδεικτικών στοιχείων A+

Ελαστομερές πολυισοπρένιο Χλωριούχο νάτριο 0,9% 66,7/8,3 mg/ml 37°C Προστατεύετε από το φως
8 Ώρα
4634
Επίπεδο των αποδεικτικών στοιχείων C+

Ελαστομερές πολυισοπρένιο Χλωριούχο νάτριο 0,9% 80 / 10 & 10 / 1.25 mg/ml 25°C Απροσδιόριστο
24 Ώρα
604
Δεδομένα σταθερότητας του κατασκευαστή/ών

Ελαστομερές πολυισοπρένιο Χλωριούχο νάτριο 0,9% 80 / 10 & 10 / 1.25 mg/ml 4°C Προστατεύετε από το φως
7 Ημέρα
604
Δεδομένα σταθερότητας του κατασκευαστή/ών

Ελαστομερές πολυισοπρένιο Γλυκόζη 5% 66,7/8,3 mg/ml 37°C Προστατεύετε από το φως
24 Ώρα
4634
Επίπεδο των αποδεικτικών στοιχείων C+

Ελαστομερές πολυισοπρένιο Γλυκόζη 5% 80 / 10 & 10 / 1.25 mg/ml 25°C Απροσδιόριστο
24 Ώρα
604
Δεδομένα σταθερότητας του κατασκευαστή/ών

Ελαστομερές πολυισοπρένιο Γλυκόζη 5% 80 / 10 & 10 / 1.25 mg/ml 4°C Προστατεύετε από το φως
7 Ημέρα
604
Δεδομένα σταθερότητας του κατασκευαστή/ών

Ελαστομερές πολυισοπρένιο NaCl 0,9% κιτρικό ταμπόν 0,3% ρΗ 7 22 / 3 mg/ml 2-8°C Απροσδιόριστο
13 Ημέρα
4512
Επίπεδο των αποδεικτικών στοιχείων A+

Ελαστομερές πολυισοπρένιο NaCl 0,9% κιτρικό ταμπόν 0,3% ρΗ 7 22 / 3 mg/ml 32°C Απροσδιόριστο
24 Ώρα
4512
Επίπεδο των αποδεικτικών στοιχείων A+

Ελαστομερές πολυισοπρένιο NaCl 0,9% κιτρικό ταμπόν 0,3% ρΗ 7 80 / 10 mg/ml 2-8°C Απροσδιόριστο
13 Ημέρα
4512
Επίπεδο των αποδεικτικών στοιχείων A+

Ελαστομερές πολυισοπρένιο NaCl 0,9% κιτρικό ταμπόν 0,3% ρΗ 7 80 / 10 mg/ml 32°C Απροσδιόριστο
24 Ώρα
4512
Επίπεδο των αποδεικτικών στοιχείων A+

Ελαστομερές σιλικόνης NaCl 0,9% κιτρικό ταμπόν 0,3% ρΗ 7 22 / 3 mg/ml 2-8°C Απροσδιόριστο
13 Ημέρα
4512
Επίπεδο των αποδεικτικών στοιχείων A+

Ελαστομερές σιλικόνης NaCl 0,9% κιτρικό ταμπόν 0,3% ρΗ 7 22 / 3 mg/ml 32°C Απροσδιόριστο
24 Ώρα
4512
Επίπεδο των αποδεικτικών στοιχείων A+

Ελαστομερές σιλικόνης NaCl 0,9% κιτρικό ταμπόν 0,3% ρΗ 7 80 / 10 mg/ml 2-8°C Απροσδιόριστο
13 Ημέρα
4512
Επίπεδο των αποδεικτικών στοιχείων A+

Ελαστομερές σιλικόνης NaCl 0,9% κιτρικό ταμπόν 0,3% ρΗ 7 80 / 10 mg/ml 32°C Απροσδιόριστο
24 Ώρα
4512
Επίπεδο των αποδεικτικών στοιχείων A+

Ελαστομερές (απροσδιόριστο) Ενέσιμο ύδωρ 128 / 16 mg/ml 25°C Απροσδιόριστο
72 Ώρα
2042
Επίπεδο των αποδεικτικών στοιχείων D

Ελαστομερές (απροσδιόριστο) Ενέσιμο ύδωρ 128 / 16 mg/ml 37°C Απροσδιόριστο
24 Ώρα
2042
Επίπεδο των αποδεικτικών στοιχείων D

Απροσδιόριστο Χλωριούχο νάτριο 0,9% 40 / 5 mg/ml 22-23°C Προστατεύετε από το φως
24 Ώρα
4758
Επίπεδο των αποδεικτικών στοιχείων B

Απροσδιόριστο Dianéal® PD2 4.25% Γλυκόζη (Baxter) 0.2 / 0.025 mg/ml 23°C Απροσδιόριστο
7 Ημέρα
2451
Επίπεδο των αποδεικτικών στοιχείων A

Απροσδιόριστο Dianéal® PD2 4.25% Γλυκόζη (Baxter) 0.2 / 0.025 mg/ml 37°C Απροσδιόριστο
24 Ώρα
2451
Επίπεδο των αποδεικτικών στοιχείων A

Απροσδιόριστο Dianéal® PD2 4.25% Γλυκόζη (Baxter) 0.2 / 0.025 mg/ml 4°C Απροσδιόριστο
14 Ημέρα
2451
Επίπεδο των αποδεικτικών στοιχείων A

Απροσδιόριστο Dianéal® PD2 1.5% Γλυκόζη (Baxter) 0.2 / 0.025 mg/ml 23°C Απροσδιόριστο
7 Ημέρα
2451
Επίπεδο των αποδεικτικών στοιχείων A

Απροσδιόριστο Dianéal® PD2 1.5% Γλυκόζη (Baxter) 0.2 / 0.025 mg/ml 37°C Απροσδιόριστο
24 Ώρα
2451
Επίπεδο των αποδεικτικών στοιχείων A

Απροσδιόριστο Dianéal® PD2 1.5% Γλυκόζη (Baxter) 0.2 / 0.025 mg/ml 4°C Απροσδιόριστο
14 Ημέρα
2451
Επίπεδο των αποδεικτικών στοιχείων A


  Mentions Légales