Zadnji put ažurirano :
17/12/2025
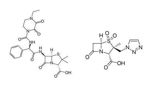
antibiotik   Piperacillin sodium / tazobactam  
injekcija
Stabilizacija rješenja Stabilnost mješavine Stabilizacijski faktor Kompatibilnosti način davanja lijeka Bibliografija pdf
   Kemijska struktura  

Nekomercijalni   Nekomercijalni     

Zaštićeni nazivi su indikativni i sastav ekscipijensa može biti različit ovisno o državi i laboratorijima

Bagotaz Argentina
Betampil Ekvador
Bioval Čile
Petezam Argentina
Piperac Njemačka
Piperacillin tazobactam Belgija, Kanada, Njemačka
Piperazam Brazil
Pipetazo Čile
Pipitaz Austrija
Pixamol Kolumbija
Tazobac Ekvador, Italija, Portugal, Švicarska
Tazocel Španjolska
Tazocilline Francuska
Tazocin Argentina, Australija, Brazil, Danska, Egipat, Finska, Grčka, Hrvatska, Italija, Južna Afrika, Kolumbija, Luksemburg, Madžarska, Meksiko, Nizozemska, Norveška, novi Zeland, Peru, Poljska, Sjeverna Irska, Švedska, Turska, Ujedinjeni Arapski Emirati, Velika Britanija
Tazonam Austrija, Čile
Tazopip Australija
Tazpen Kolumbija, Meksiko
Tazrobida Kolumbija
Tigux Čile
Tratac Čile
Trital Ekvador
Zosyn Japan, S A D
Stabilizacija rješenja   injekcija   Stabilizacija rješenja : Piperacillin sodium / tazobactam     
Kontejner sredstvo za rastapanje koncentracija temperatura Konzerviranje Trajanje stabilnosti Bibliografija
čaša čista voda za injektiranje 20/2,5 mg/ml 2-8°C Zaštićeno od svjetlosti
2 dan
4922
Razina dokaza D

čaša NaCl 0.9% + fenol 0.4% 20/2,5 mg/ml 2-8°C Zaštićeno od svjetlosti
2 dan
4922
Razina dokaza D

polivinilklorid natrijumkorid 0,9% 20 / 2.5 mg/ml 23°C
72 sat
2345
Razina dokaza A

polivinilklorid natrijumkorid 0,9% 20 / 2.5 mg/ml 5°C Zaštićeno od svjetlosti
28 dan
2345
Razina dokaza A

polivinilklorid natrijumkorid 0,9% 40 / 5 mg/ml 25°C svjetlost
4 dan
2026
Razina dokaza B

polivinilklorid natrijumkorid 0,9% 40 / 5 mg/ml 7°C Zaštićeno od svjetlosti
5 dan
2026
Razina dokaza B

polivinilklorid natrijumkorid 0,9% 80 / 10 mg/ml -15°C Zaštićeno od svjetlosti
30 dan
274
Razina dokaza D

polivinilklorid natrijumkorid 0,9% 80 / 10 mg/ml 25°C nespecifičan
24 sat
274
Razina dokaza D

polivinilklorid natrijumkorid 0,9% 80 / 10 mg/ml 4°C Zaštićeno od svjetlosti
7 dan
274
Razina dokaza D

polivinilklorid glukoza 5% 33.3 / 4.1 mg/ml -20°C Zaštićeno od svjetlosti
90 dan
1946

polivinilklorid glukoza 5% 33.3 / 4.1 mg/ml 4°C nespecifičan
35 dan
1946

polivinilklorid glukoza 5% 80 / 10 mg/ml -15°C Zaštićeno od svjetlosti
30 dan
274
Razina dokaza D

polivinilklorid glukoza 5% 80 / 10 mg/ml 23°C
72 sat
2345
Razina dokaza A

polivinilklorid glukoza 5% 80 / 10 mg/ml 25°C nespecifičan
24 sat
274
Razina dokaza D

polivinilklorid glukoza 5% 80 / 10 mg/ml 4°C Zaštićeno od svjetlosti
7 dan
274
Razina dokaza D

polivinilklorid glukoza 5% 80 / 10 mg/ml 5°C Zaštićeno od svjetlosti
28 dan
2345
Razina dokaza A

poliolefin natrijumkorid 0,9% 40 / 5 mg/ml 25°C svjetlost
3 dan
2026
Razina dokaza B

poliolefin natrijumkorid 0,9% 40 / 5 mg/ml 7°C Zaštićeno od svjetlosti
17 dan
2026
Razina dokaza B

poliolefin natrijumkorid 0,9% 50.6 / 6.3 mg/ml 2-8°C nespecifičan
17 dan
4620
Razina dokaza A+

poliolefin natrijumkorid 0,9% 50.6 / 6.3 mg/ml 25°C nespecifičan
3 sat
4620
Razina dokaza A+

poliolefin glukoza 5% 33,3 / 4,1 mg/ml -20°C Zaštićeno od svjetlosti
90 dan
4148
Razina dokaza D

poliolefin glukoza 5% 33,3 / 4,1 mg/ml 2-8°C nespecifičan
58 dan
4148
Razina dokaza D

poliolefin glukoza 5% 50.6 / 6.3 mg/ml 2-8°C nespecifičan
17 dan
4621
Razina dokaza A+

poliolefin glukoza 5% 50.6 / 6.3 mg/ml 25°C nespecifičan
3 sat
4621
Razina dokaza A+

špric polipropilen čista voda za injektiranje 20/2,5 mg/ml 2-8°C Zaštićeno od svjetlosti
2 dan
4922
Razina dokaza D

špric polipropilen natrijumkorid 0,9% 125/15,6 mg/ml 20-25°C svjetlost
48 sat
4634
Razina dokaza C+

špric polipropilen natrijumkorid 0,9% 150 / 18,75 mg/ml 4°C Zaštićeno od svjetlosti
7 dan
274
Razina dokaza D

špric polipropilen natrijumkorid 0,9% 150 / 18.75 mg/ml -15°C Zaštićeno od svjetlosti
30 dan
274
Razina dokaza D

špric polipropilen natrijumkorid 0,9% 150 / 18.75 mg/ml 25°C nespecifičan
24 sat
274
Razina dokaza D

špric polipropilen natrijumkorid 0,9% 200 / 25 mg/ml -15°C Zaštićeno od svjetlosti
30 dan
274
Razina dokaza D

špric polipropilen natrijumkorid 0,9% 200 / 25 mg/ml 25°C nespecifičan
24 sat
274
Razina dokaza D

špric polipropilen natrijumkorid 0,9% 200 / 25 mg/ml 4°C Zaštićeno od svjetlosti
7 dan
274
Razina dokaza D

špric polipropilen natrijumkorid 0,9% 80 / 10 mg/ml 25°C svjetlost
12 sat
4326
Razina dokaza B

špric polipropilen glukoza 5% 125/15,6 mg/ml 20-25°C svjetlost
48 sat
4634
Razina dokaza C+

špric polipropilen glukoza 5% 150 / 18,75 mg/ml 4°C Zaštićeno od svjetlosti
7 dan
274
Razina dokaza D

špric polipropilen glukoza 5% 150 / 18.75 mg/ml -15°C Zaštićeno od svjetlosti
30 dan
274
Razina dokaza D

špric polipropilen glukoza 5% 150 / 18.75 mg/ml 25°C nespecifičan
24 sat
274
Razina dokaza D

špric polipropilen glukoza 5% 200 / 25 mg/ml -15°C Zaštićeno od svjetlosti
30 dan
274
Razina dokaza D

špric polipropilen glukoza 5% 200 / 25 mg/ml 25°C nespecifičan
24 sat
274
Razina dokaza D

špric polipropilen glukoza 5% 200 / 25 mg/ml 4°C Zaštićeno od svjetlosti
7 dan
274
Razina dokaza D

špric polipropilen NaCl 0.9% + fenol 0.4% 20/2,5 mg/ml 2-8°C Zaštićeno od svjetlosti
2 dan
4922
Razina dokaza D

Poliizoprenski elastomer natrijumkorid 0,9% 50 / 6,25 mg/ml 32°C Zaštićeno od svjetlosti
24 sat
4850
Razina dokaza A+

Poliizoprenski elastomer natrijumkorid 0,9% 66,7/8,3 mg/ml 37°C Zaštićeno od svjetlosti
8 sat
4634
Razina dokaza C+

Poliizoprenski elastomer natrijumkorid 0,9% 80 / 10 & 10 / 1.25 mg/ml 25°C nespecifičan
24 sat
604
Podaci proizvođača o stabilnosti

Poliizoprenski elastomer natrijumkorid 0,9% 80 / 10 & 10 / 1.25 mg/ml 4°C Zaštićeno od svjetlosti
7 dan
604
Podaci proizvođača o stabilnosti

Poliizoprenski elastomer glukoza 5% 66,7/8,3 mg/ml 37°C Zaštićeno od svjetlosti
24 sat
4634
Razina dokaza C+

Poliizoprenski elastomer glukoza 5% 80 / 10 & 10 / 1.25 mg/ml 25°C nespecifičan
24 sat
604
Podaci proizvođača o stabilnosti

Poliizoprenski elastomer glukoza 5% 80 / 10 & 10 / 1.25 mg/ml 4°C Zaštićeno od svjetlosti
7 dan
604
Podaci proizvođača o stabilnosti

Poliizoprenski elastomer NaCl 0,9% citratni pufer 0,3% pH7 22 / 3 mg/ml 2-8°C nespecifičan
13 dan
4512
Razina dokaza A+

Poliizoprenski elastomer NaCl 0,9% citratni pufer 0,3% pH7 22 / 3 mg/ml 32°C nespecifičan
24 sat
4512
Razina dokaza A+

Poliizoprenski elastomer NaCl 0,9% citratni pufer 0,3% pH7 80 / 10 mg/ml 2-8°C nespecifičan
13 dan
4512
Razina dokaza A+

Poliizoprenski elastomer NaCl 0,9% citratni pufer 0,3% pH7 80 / 10 mg/ml 32°C nespecifičan
24 sat
4512
Razina dokaza A+

Silikonski elastomer NaCl 0,9% citratni pufer 0,3% pH7 22 / 3 mg/ml 2-8°C nespecifičan
13 dan
4512
Razina dokaza A+

Silikonski elastomer NaCl 0,9% citratni pufer 0,3% pH7 22 / 3 mg/ml 32°C nespecifičan
24 sat
4512
Razina dokaza A+

Silikonski elastomer NaCl 0,9% citratni pufer 0,3% pH7 80 / 10 mg/ml 2-8°C nespecifičan
13 dan
4512
Razina dokaza A+

Silikonski elastomer NaCl 0,9% citratni pufer 0,3% pH7 80 / 10 mg/ml 32°C nespecifičan
24 sat
4512
Razina dokaza A+

Elastomer (neodređeno) čista voda za injektiranje 128 / 16 mg/ml 25°C nespecifičan
72 sat
2042
Razina dokaza D

Elastomer (neodređeno) čista voda za injektiranje 128 / 16 mg/ml 37°C nespecifičan
24 sat
2042
Razina dokaza D

nespecifičan natrijumkorid 0,9% 40 / 5 mg/ml 22-23°C Zaštićeno od svjetlosti
24 sat
4758
Razina dokaza B

nespecifičan Dianéal® PD2 4.25% glukoza (Baxter) 0.2 / 0.025 mg/ml 23°C nespecifičan
7 dan
2451
Razina dokaza A

nespecifičan Dianéal® PD2 4.25% glukoza (Baxter) 0.2 / 0.025 mg/ml 37°C nespecifičan
24 sat
2451
Razina dokaza A

nespecifičan Dianéal® PD2 4.25% glukoza (Baxter) 0.2 / 0.025 mg/ml 4°C nespecifičan
14 dan
2451
Razina dokaza A

nespecifičan Dianéal® PD2 1.5% glukoza (Baxter) 0.2 / 0.025 mg/ml 23°C nespecifičan
7 dan
2451
Razina dokaza A

nespecifičan Dianéal® PD2 1.5% glukoza (Baxter) 0.2 / 0.025 mg/ml 37°C nespecifičan
24 sat
2451
Razina dokaza A

nespecifičan Dianéal® PD2 1.5% glukoza (Baxter) 0.2 / 0.025 mg/ml 4°C nespecifičan
14 dan
2451
Razina dokaza A


  Mentions Légales