Последнее обновление :
02/03/2026
Антибиотик   Piperacillin sodium / tazobactam  
Инъекция
Стабильность растворов Стабильность смесей Факторы, которые влияют на стабильность Совместимость Способы введения Библиография pdf
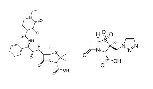
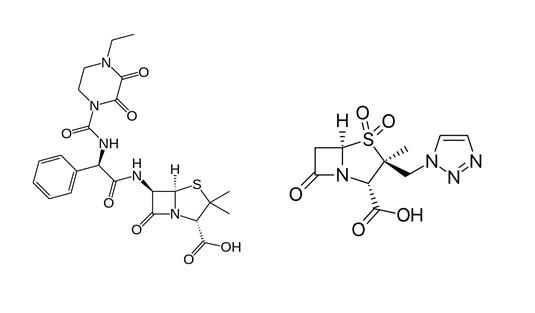
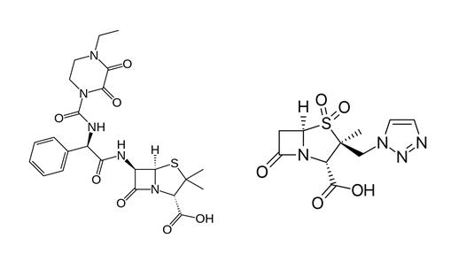
   Химическая структура  

Товарное название   Товарное название     

Trade names are indicative and excipients composition can be different depending on the country and manufacturers

Bagotaz Аргентина
Betampil Эквадор
Bioval чили
Petezam Аргентина
Piperac Германия
Piperacillin tazobactam Бельгия, Германия, Канада
Piperazam Бразилия
Pipetazo чили
Pipitaz Австрия
Pixamol Колумбия
Tazobac Италия, Португалия, Швейцария, Эквадор
Tazocel Испания
Tazocilline Франция
Tazocin Австралия, Аргентина, Бразилия, Великобритания, Венгрия, Голландия, Греция, Дания, Египет, Италия, Колумбия, Люксембург, Мексика, новая Зеландия, Норвегия, Объединенные Арабские Эмираты, Перу, Польша, Северной Ирландии, Турция, Финляндия, Хорватия, Швеция, Южно-Африканская Республика
Tazonam Австрия, чили
Tazopip Австралия
Tazpen Колумбия, Мексика
Tazrobida Колумбия
Tigux чили
Tratac чили
Trital Эквадор
Zosyn Соединённые Штаты Америки, Япония
Стабильность растворов   Инъекция   Стабильность растворов : Piperacillin sodium / tazobactam     
Упаковка Растворитель Концентрация Температура Хранение Продолжительность стабильности Ссылки
Стекло Вода для инъекций 20/2,5 mg/ml 2-8°C Защищён от света
2 День
4922
Уровень доказательности D

Стекло NaCl 0.9% + фенол 0.4% 20/2,5 mg/ml 2-8°C Защищён от света
2 День
4922
Уровень доказательности D

Поливинилхлорид Натрия хлорид 0,9% 20 / 2.5 mg/ml 23°C
72 Час
2345
Уровень доказательности A

Поливинилхлорид Натрия хлорид 0,9% 20 / 2.5 mg/ml 5°C Защищён от света
28 День
2345
Уровень доказательности A

Поливинилхлорид Натрия хлорид 0,9% 40 / 5 mg/ml 25°C Свет
4 День
2026
Уровень доказательности B

Поливинилхлорид Натрия хлорид 0,9% 40 / 5 mg/ml 7°C Защищён от света
5 День
2026
Уровень доказательности B

Поливинилхлорид Натрия хлорид 0,9% 80 / 10 mg/ml -15°C Защищён от света
30 День
274
Уровень доказательности D

Поливинилхлорид Глюкоза 5% 33.3 / 4.1 mg/ml -20°C Защищён от света
90 День
1946

Поливинилхлорид Глюкоза 5% 33.3 / 4.1 mg/ml 4°C Не указано
35 День
1946

Поливинилхлорид Глюкоза 5% 80 / 10 mg/ml -15°C Защищён от света
30 День
274
Уровень доказательности D

Поливинилхлорид Глюкоза 5% 80 / 10 mg/ml 23°C
72 Час
2345
Уровень доказательности A

Поливинилхлорид Глюкоза 5% 80 / 10 mg/ml 5°C Защищён от света
28 День
2345
Уровень доказательности A

Полиолефин Натрия хлорид 0,9% 40 / 5 mg/ml 25°C Свет
3 День
2026
Уровень доказательности B

Полиолефин Натрия хлорид 0,9% 40 / 5 mg/ml 7°C Защищён от света
17 День
2026
Уровень доказательности B

Полиолефин Натрия хлорид 0,9% 50.6 / 6.3 mg/ml 2-8°C Не указано
17 День
4620
Уровень доказательности A +

Полиолефин Натрия хлорид 0,9% 50.6 / 6.3 mg/ml 25°C Не указано
3 Час
4620
Уровень доказательности A +

Полиолефин Глюкоза 5% 33,3 / 4,1 mg/ml -20°C Защищён от света
90 День
4148
Уровень доказательности D

Полиолефин Глюкоза 5% 33,3 / 4,1 mg/ml 2-8°C Не указано
58 День
4148
Уровень доказательности D

Полиолефин Глюкоза 5% 50.6 / 6.3 mg/ml 2-8°C Не указано
17 День
4621
Уровень доказательности A +

Полиолефин Глюкоза 5% 50.6 / 6.3 mg/ml 25°C Не указано
3 Час
4621
Уровень доказательности A +

Шприц полипропилен Вода для инъекций 20/2,5 mg/ml 2-8°C Защищён от света
2 День
4922
Уровень доказательности D

Шприц полипропилен Натрия хлорид 0,9% 125/15,6 mg/ml 20-25°C Свет
48 Час
4634
Уровень доказательности C+

Шприц полипропилен Натрия хлорид 0,9% 150 / 18,75 mg/ml 4°C Защищён от света
7 День
274
Уровень доказательности D

Шприц полипропилен Натрия хлорид 0,9% 150 / 18.75 mg/ml -15°C Защищён от света
30 День
274
Уровень доказательности D

Шприц полипропилен Натрия хлорид 0,9% 150 / 18.75 mg/ml 25°C Не указано
24 Час
274
Уровень доказательности D

Шприц полипропилен Натрия хлорид 0,9% 200 / 25 mg/ml -15°C Защищён от света
30 День
274
Уровень доказательности D

Шприц полипропилен Натрия хлорид 0,9% 200 / 25 mg/ml 25°C Не указано
24 Час
274
Уровень доказательности D

Шприц полипропилен Натрия хлорид 0,9% 200 / 25 mg/ml 4°C Защищён от света
7 День
274
Уровень доказательности D

Шприц полипропилен Натрия хлорид 0,9% 80 / 10 mg/ml 25°C Свет
12 Час
4326
Уровень доказательности B

Шприц полипропилен Глюкоза 5% 125/15,6 mg/ml 20-25°C Свет
48 Час
4634
Уровень доказательности C+

Шприц полипропилен Глюкоза 5% 150 / 18,75 mg/ml 4°C Защищён от света
7 День
274
Уровень доказательности D

Шприц полипропилен Глюкоза 5% 150 / 18.75 mg/ml -15°C Защищён от света
30 День
274
Уровень доказательности D

Шприц полипропилен Глюкоза 5% 150 / 18.75 mg/ml 25°C Не указано
24 Час
274
Уровень доказательности D

Шприц полипропилен Глюкоза 5% 200 / 25 mg/ml -15°C Защищён от света
30 День
274
Уровень доказательности D

Шприц полипропилен Глюкоза 5% 200 / 25 mg/ml 25°C Не указано
24 Час
274
Уровень доказательности D

Шприц полипропилен Глюкоза 5% 200 / 25 mg/ml 4°C Защищён от света
7 День
274
Уровень доказательности D

Шприц полипропилен NaCl 0.9% + фенол 0.4% 20/2,5 mg/ml 2-8°C Защищён от света
2 День
4922
Уровень доказательности D

Полиизопреновый эластомер Натрия хлорид 0,9% 50 / 6,25 mg/ml 32°C Защищён от света
24 Час
4850
Уровень доказательности A +

Полиизопреновый эластомер Натрия хлорид 0,9% 66,7/8,3 mg/ml 37°C Защищён от света
8 Час
4634
Уровень доказательности C+

Полиизопреновый эластомер Натрия хлорид 0,9% 80 / 10 & 10 / 1.25 mg/ml 25°C Не указано
24 Час
604
Данные по стабльности от изготовителя

Полиизопреновый эластомер Натрия хлорид 0,9% 80 / 10 & 10 / 1.25 mg/ml 4°C Защищён от света
7 День
604
Данные по стабльности от изготовителя

Полиизопреновый эластомер Глюкоза 5% 66,7/8,3 mg/ml 37°C Защищён от света
24 Час
4634
Уровень доказательности C+

Полиизопреновый эластомер Глюкоза 5% 80 / 10 & 10 / 1.25 mg/ml 25°C Не указано
24 Час
604
Данные по стабльности от изготовителя

Полиизопреновый эластомер Глюкоза 5% 80 / 10 & 10 / 1.25 mg/ml 4°C Защищён от света
7 День
604
Данные по стабльности от изготовителя

Полиизопреновый эластомер NaCl 0,9% цитрат тампона 0,3% pH7 22 / 3 mg/ml 2-8°C Не указано
13 День
4512
Уровень доказательности A +

Полиизопреновый эластомер NaCl 0,9% цитрат тампона 0,3% pH7 22 / 3 mg/ml 32°C Не указано
24 Час
4512
Уровень доказательности A +

Полиизопреновый эластомер NaCl 0,9% цитрат тампона 0,3% pH7 80 / 10 mg/ml 2-8°C Не указано
13 День
4512
Уровень доказательности A +

Полиизопреновый эластомер NaCl 0,9% цитрат тампона 0,3% pH7 80 / 10 mg/ml 32°C Не указано
24 Час
4512
Уровень доказательности A +

Силиконовый эластомер NaCl 0,9% цитрат тампона 0,3% pH7 22 / 3 mg/ml 2-8°C Не указано
13 День
4512
Уровень доказательности A +

Силиконовый эластомер NaCl 0,9% цитрат тампона 0,3% pH7 22 / 3 mg/ml 32°C Не указано
24 Час
4512
Уровень доказательности A +

Силиконовый эластомер NaCl 0,9% цитрат тампона 0,3% pH7 80 / 10 mg/ml 2-8°C Не указано
13 День
4512
Уровень доказательности A +

Силиконовый эластомер NaCl 0,9% цитрат тампона 0,3% pH7 80 / 10 mg/ml 32°C Не указано
24 Час
4512
Уровень доказательности A +

Эластомер (не указан) Вода для инъекций 128 / 16 mg/ml 25°C Не указано
72 Час
2042
Уровень доказательности D

Эластомер (не указан) Вода для инъекций 128 / 16 mg/ml 37°C Не указано
24 Час
2042
Уровень доказательности D

Не указано Натрия хлорид 0,9% 40 / 5 mg/ml 22-23°C Защищён от света
24 Час
4758
Уровень доказательности B

Не указано Dianéal® PD2 4.25% Глюкоза (Baxter) 0.2 / 0.025 mg/ml 23°C Не указано
7 День
2451
Уровень доказательности A

Не указано Dianéal® PD2 4.25% Глюкоза (Baxter) 0.2 / 0.025 mg/ml 37°C Не указано
24 Час
2451
Уровень доказательности A

Не указано Dianéal® PD2 4.25% Глюкоза (Baxter) 0.2 / 0.025 mg/ml 4°C Не указано
14 День
2451
Уровень доказательности A

Не указано Dianéal® PD2 1.5% Глюкоза (Baxter) 0.2 / 0.025 mg/ml 23°C Не указано
7 День
2451
Уровень доказательности A

Не указано Dianéal® PD2 1.5% Глюкоза (Baxter) 0.2 / 0.025 mg/ml 37°C Не указано
24 Час
2451
Уровень доказательности A

Не указано Dianéal® PD2 1.5% Глюкоза (Baxter) 0.2 / 0.025 mg/ml 4°C Не указано
14 День
2451
Уровень доказательности A


  Mentions Légales