Letztes “update” :
17/12/2025
Antibiotikum   Piperacillin sodium / tazobactam  
Injektion
Stabilität der Lösung Gemengestabilität Stabilitätbeeinflussende Faktoren Kompatibilitäten Applikationsart Literaturverzeichnis pdf
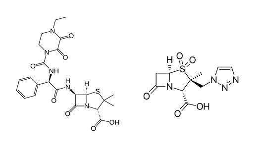
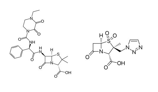
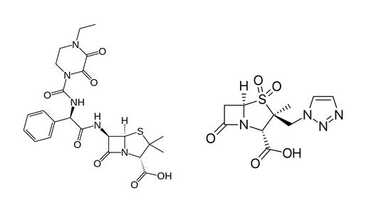
   Chemische Struktur  

Handelsmarke   Handelsmarke     

Handelsnamen sind als beispielhaft anzusehen. Sonstige Bestandteile können je nach Hersteller oder Land verschieden sein

Bagotaz Argentinien
Betampil Ecuador
Bioval Chile
Petezam Argentinien
Piperac Deutschland
Piperacillin tazobactam Belgien, Deutschland, Kanada
Piperazam Brasilien
Pipetazo Chile
Pipitaz Österreich
Pixamol Kolumbien
Tazobac Ecuador, Italien, Portugal, Schweiz
Tazocel Spanien
Tazocilline Frankreich
Tazocin Ägypten, Argentinien, Australien, Brasilien, Dänemark, Finnland, Griechenland, Großbritannien, Italien, Kolumbien, Kroatien, Luxemburg, Mexiko, Neuseeland, Niederlande, Nordirland, Norwegen, Peru, Polen, Schweden, Südafrika, Türkei, Ungarn, Vereinigte Arabische Emirate
Tazonam Chile, Österreich
Tazopip Australien
Tazpen Kolumbien, Mexiko
Tazrobida Kolumbien
Tigux Chile
Tratac Chile
Trital Ecuador
Zosyn Japan, Vereinigte Staaten von Amerika
Stabilität der Lösung   Injektion   Stabilität der Lösung : Piperacillin sodium / tazobactam     
Behälter Lösungsmittel Konzentration Temperatur Konservierung Dauer der Stabilität Literaturverzeichnis
Glas Wasser für injektable präparate 20/2,5 mg/ml 2-8°C Ohne Licht
2 Tag
4922
Evidenzgrad D

Glas NaCl 0.9% + phenol 0.4% 20/2,5 mg/ml 2-8°C Ohne Licht
2 Tag
4922
Evidenzgrad D

Polyvinylchlorid 0,9% Natriumchlorid 20 / 2.5 mg/ml 23°C
72 Stunde
2345
Evidenzgrad A

Polyvinylchlorid 0,9% Natriumchlorid 20 / 2.5 mg/ml 5°C Ohne Licht
28 Tag
2345
Evidenzgrad A

Polyvinylchlorid 0,9% Natriumchlorid 40 / 5 mg/ml 25°C Licht
4 Tag
2026
Evidenzgrad B

Polyvinylchlorid 0,9% Natriumchlorid 40 / 5 mg/ml 7°C Ohne Licht
5 Tag
2026
Evidenzgrad B

Polyvinylchlorid 0,9% Natriumchlorid 80 / 10 mg/ml -15°C Ohne Licht
30 Tag
274
Evidenzgrad D

Polyvinylchlorid 0,9% Natriumchlorid 80 / 10 mg/ml 25°C Nicht genau angegeben
24 Stunde
274
Evidenzgrad D

Polyvinylchlorid 0,9% Natriumchlorid 80 / 10 mg/ml 4°C Ohne Licht
7 Tag
274
Evidenzgrad D

Polyvinylchlorid 5% Glucose 33.3 / 4.1 mg/ml -20°C Ohne Licht
90 Tag
1946

Polyvinylchlorid 5% Glucose 33.3 / 4.1 mg/ml 4°C Nicht genau angegeben
35 Tag
1946

Polyvinylchlorid 5% Glucose 80 / 10 mg/ml -15°C Ohne Licht
30 Tag
274
Evidenzgrad D

Polyvinylchlorid 5% Glucose 80 / 10 mg/ml 23°C
72 Stunde
2345
Evidenzgrad A

Polyvinylchlorid 5% Glucose 80 / 10 mg/ml 25°C Nicht genau angegeben
24 Stunde
274
Evidenzgrad D

Polyvinylchlorid 5% Glucose 80 / 10 mg/ml 4°C Ohne Licht
7 Tag
274
Evidenzgrad D

Polyvinylchlorid 5% Glucose 80 / 10 mg/ml 5°C Ohne Licht
28 Tag
2345
Evidenzgrad A

Polyolefin 0,9% Natriumchlorid 40 / 5 mg/ml 25°C Licht
3 Tag
2026
Evidenzgrad B

Polyolefin 0,9% Natriumchlorid 40 / 5 mg/ml 7°C Ohne Licht
17 Tag
2026
Evidenzgrad B

Polyolefin 0,9% Natriumchlorid 50.6 / 6.3 mg/ml 2-8°C Nicht genau angegeben
17 Tag
4620
Evidenzgrad A+

Polyolefin 0,9% Natriumchlorid 50.6 / 6.3 mg/ml 25°C Nicht genau angegeben
3 Stunde
4620
Evidenzgrad A+

Polyolefin 5% Glucose 33,3 / 4,1 mg/ml -20°C Ohne Licht
90 Tag
4148
Evidenzgrad D

Polyolefin 5% Glucose 33,3 / 4,1 mg/ml 2-8°C Nicht genau angegeben
58 Tag
4148
Evidenzgrad D

Polyolefin 5% Glucose 50.6 / 6.3 mg/ml 2-8°C Nicht genau angegeben
17 Tag
4621
Evidenzgrad A+

Polyolefin 5% Glucose 50.6 / 6.3 mg/ml 25°C Nicht genau angegeben
3 Stunde
4621
Evidenzgrad A+

 Spritze Polypropylen Wasser für injektable präparate 20/2,5 mg/ml 2-8°C Ohne Licht
2 Tag
4922
Evidenzgrad D

 Spritze Polypropylen 0,9% Natriumchlorid 125/15,6 mg/ml 20-25°C Licht
48 Stunde
4634
Evidenzgrad C+

 Spritze Polypropylen 0,9% Natriumchlorid 150 / 18,75 mg/ml 4°C Ohne Licht
7 Tag
274
Evidenzgrad D

 Spritze Polypropylen 0,9% Natriumchlorid 150 / 18.75 mg/ml -15°C Ohne Licht
30 Tag
274
Evidenzgrad D

 Spritze Polypropylen 0,9% Natriumchlorid 150 / 18.75 mg/ml 25°C Nicht genau angegeben
24 Stunde
274
Evidenzgrad D

 Spritze Polypropylen 0,9% Natriumchlorid 200 / 25 mg/ml -15°C Ohne Licht
30 Tag
274
Evidenzgrad D

 Spritze Polypropylen 0,9% Natriumchlorid 200 / 25 mg/ml 25°C Nicht genau angegeben
24 Stunde
274
Evidenzgrad D

 Spritze Polypropylen 0,9% Natriumchlorid 200 / 25 mg/ml 4°C Ohne Licht
7 Tag
274
Evidenzgrad D

 Spritze Polypropylen 0,9% Natriumchlorid 80 / 10 mg/ml 25°C Licht
12 Stunde
4326
Evidenzgrad B

 Spritze Polypropylen 5% Glucose 125/15,6 mg/ml 20-25°C Licht
48 Stunde
4634
Evidenzgrad C+

 Spritze Polypropylen 5% Glucose 150 / 18,75 mg/ml 4°C Ohne Licht
7 Tag
274
Evidenzgrad D

 Spritze Polypropylen 5% Glucose 150 / 18.75 mg/ml -15°C Ohne Licht
30 Tag
274
Evidenzgrad D

 Spritze Polypropylen 5% Glucose 150 / 18.75 mg/ml 25°C Nicht genau angegeben
24 Stunde
274
Evidenzgrad D

 Spritze Polypropylen 5% Glucose 200 / 25 mg/ml -15°C Ohne Licht
30 Tag
274
Evidenzgrad D

 Spritze Polypropylen 5% Glucose 200 / 25 mg/ml 25°C Nicht genau angegeben
24 Stunde
274
Evidenzgrad D

 Spritze Polypropylen 5% Glucose 200 / 25 mg/ml 4°C Ohne Licht
7 Tag
274
Evidenzgrad D

 Spritze Polypropylen NaCl 0.9% + phenol 0.4% 20/2,5 mg/ml 2-8°C Ohne Licht
2 Tag
4922
Evidenzgrad D

Polyisoprenelastomer 0,9% Natriumchlorid 50 / 6,25 mg/ml 32°C Ohne Licht
24 Stunde
4850
Evidenzgrad A+

Polyisoprenelastomer 0,9% Natriumchlorid 66,7/8,3 mg/ml 37°C Ohne Licht
8 Stunde
4634
Evidenzgrad C+

Polyisoprenelastomer 0,9% Natriumchlorid 80 / 10 & 10 / 1.25 mg/ml 25°C Nicht genau angegeben
24 Stunde
604
Stabilitätsdaten des Herstellers

Polyisoprenelastomer 0,9% Natriumchlorid 80 / 10 & 10 / 1.25 mg/ml 4°C Ohne Licht
7 Tag
604
Stabilitätsdaten des Herstellers

Polyisoprenelastomer 5% Glucose 66,7/8,3 mg/ml 37°C Ohne Licht
24 Stunde
4634
Evidenzgrad C+

Polyisoprenelastomer 5% Glucose 80 / 10 & 10 / 1.25 mg/ml 25°C Nicht genau angegeben
24 Stunde
604
Stabilitätsdaten des Herstellers

Polyisoprenelastomer 5% Glucose 80 / 10 & 10 / 1.25 mg/ml 4°C Ohne Licht
7 Tag
604
Stabilitätsdaten des Herstellers

Polyisoprenelastomer NaCl 0,9% Citratpuffer 0,3% pH7 22 / 3 mg/ml 2-8°C Nicht genau angegeben
13 Tag
4512
Evidenzgrad A+

Polyisoprenelastomer NaCl 0,9% Citratpuffer 0,3% pH7 22 / 3 mg/ml 32°C Nicht genau angegeben
24 Stunde
4512
Evidenzgrad A+

Polyisoprenelastomer NaCl 0,9% Citratpuffer 0,3% pH7 80 / 10 mg/ml 2-8°C Nicht genau angegeben
13 Tag
4512
Evidenzgrad A+

Polyisoprenelastomer NaCl 0,9% Citratpuffer 0,3% pH7 80 / 10 mg/ml 32°C Nicht genau angegeben
24 Stunde
4512
Evidenzgrad A+

Silikonelastomer NaCl 0,9% Citratpuffer 0,3% pH7 22 / 3 mg/ml 2-8°C Nicht genau angegeben
13 Tag
4512
Evidenzgrad A+

Silikonelastomer NaCl 0,9% Citratpuffer 0,3% pH7 22 / 3 mg/ml 32°C Nicht genau angegeben
24 Stunde
4512
Evidenzgrad A+

Silikonelastomer NaCl 0,9% Citratpuffer 0,3% pH7 80 / 10 mg/ml 2-8°C Nicht genau angegeben
13 Tag
4512
Evidenzgrad A+

Silikonelastomer NaCl 0,9% Citratpuffer 0,3% pH7 80 / 10 mg/ml 32°C Nicht genau angegeben
24 Stunde
4512
Evidenzgrad A+

Elastomer (nicht spezifiziert) Wasser für injektable präparate 128 / 16 mg/ml 25°C Nicht genau angegeben
72 Stunde
2042
Evidenzgrad D

Elastomer (nicht spezifiziert) Wasser für injektable präparate 128 / 16 mg/ml 37°C Nicht genau angegeben
24 Stunde
2042
Evidenzgrad D

Nicht genau angegeben 0,9% Natriumchlorid 40 / 5 mg/ml 22-23°C Ohne Licht
24 Stunde
4758
Evidenzgrad B

Nicht genau angegeben Dianéal® PD2 4.25% glucose (Baxter) 0.2 / 0.025 mg/ml 23°C Nicht genau angegeben
7 Tag
2451
Evidenzgrad A

Nicht genau angegeben Dianéal® PD2 4.25% glucose (Baxter) 0.2 / 0.025 mg/ml 37°C Nicht genau angegeben
24 Stunde
2451
Evidenzgrad A

Nicht genau angegeben Dianéal® PD2 4.25% glucose (Baxter) 0.2 / 0.025 mg/ml 4°C Nicht genau angegeben
14 Tag
2451
Evidenzgrad A

Nicht genau angegeben Dianéal® PD2 1.5% glucose (Baxter) 0.2 / 0.025 mg/ml 23°C Nicht genau angegeben
7 Tag
2451
Evidenzgrad A

Nicht genau angegeben Dianéal® PD2 1.5% glucose (Baxter) 0.2 / 0.025 mg/ml 37°C Nicht genau angegeben
24 Stunde
2451
Evidenzgrad A

Nicht genau angegeben Dianéal® PD2 1.5% glucose (Baxter) 0.2 / 0.025 mg/ml 4°C Nicht genau angegeben
14 Tag
2451
Evidenzgrad A


  Mentions Légales