Cập nhật lần cuối :
27/11/2025
Thuốc kháng virus   Foscarnet sodium  
Dạng tiêm
Tính ổn định của các dung dịch Độ ổn định khi trộn lẫn Những yếu tố ảnh hưởng đến độ ổn định Khả năng tương thích Đường dùng Tài liệu tham khảo Pdf
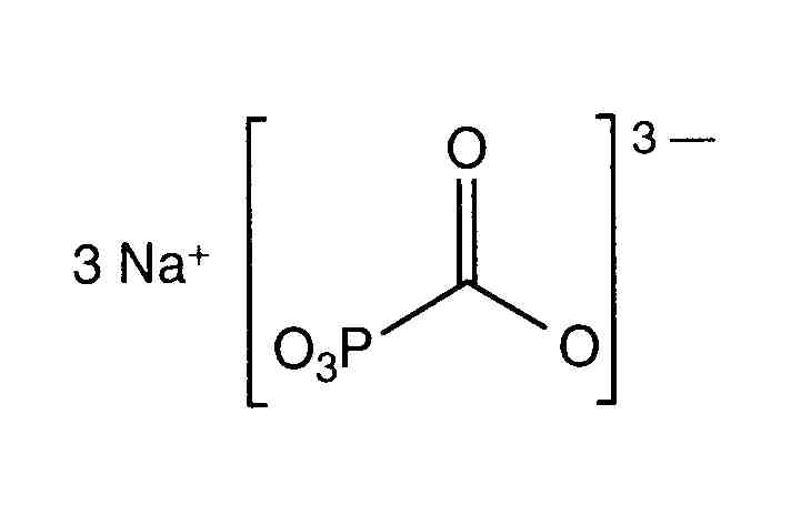
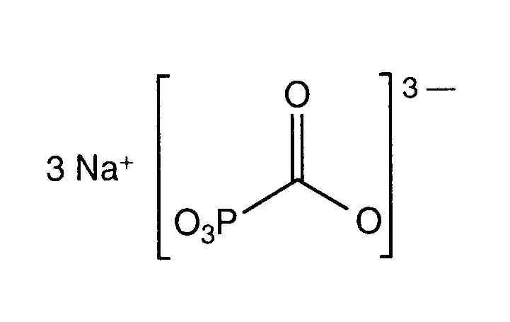
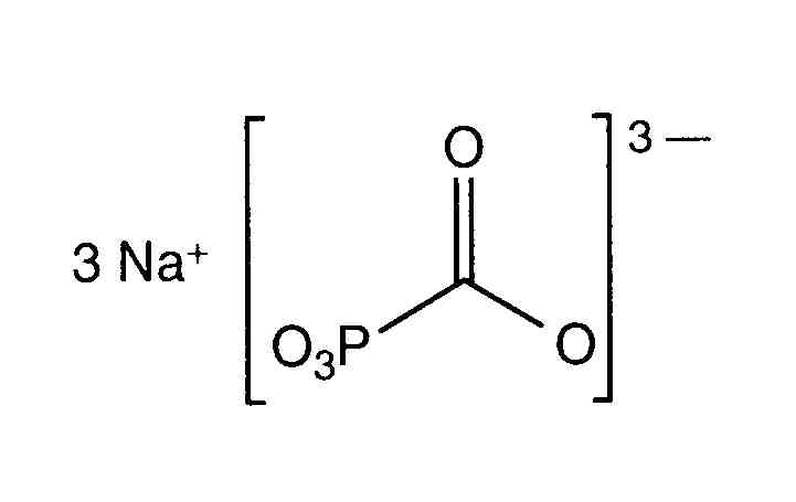
   Cấu trúc hóa học  

Tên thương mại   Tên thương mại     

Các tên thương mại được cung cấp và thành phần tá dược có thể khác nhau giữa các quốc gia và các hãng dược

Foscarnet Argentina, Bồ Đào Nha, Chile, Colombia, Ecuador, Hoa Kỳ, Mexico, Peru, Tây Ban Nha
Foscavir Anh, Áo, Bỉ, Hà Lan, Hoa Kỳ, Hungary, Hy Lạp, Luxembourg, new zealand, Pháp, Tây Ban Nha, Thụy Sỹ, Thụy Điển, Úc, Ý, Đức
Đường dùng   Đường dùng :Foscarnet sodium     
Đường dùng
Truyền tĩnh mạch

  Mentions Légales