Última actualización :
27/11/2025
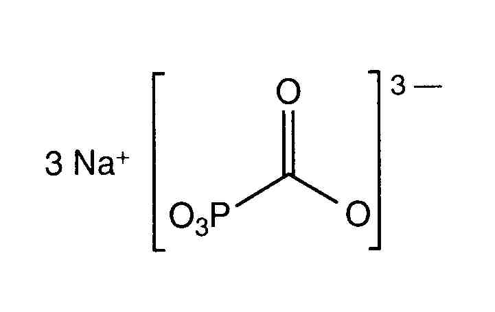
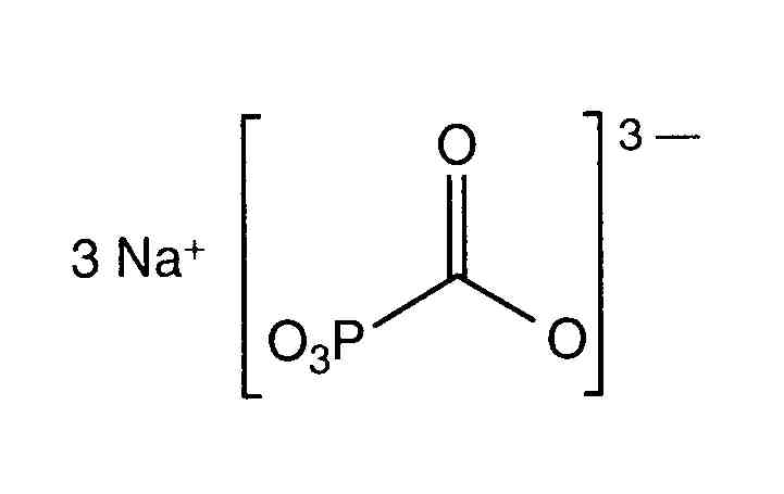
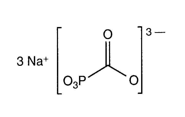
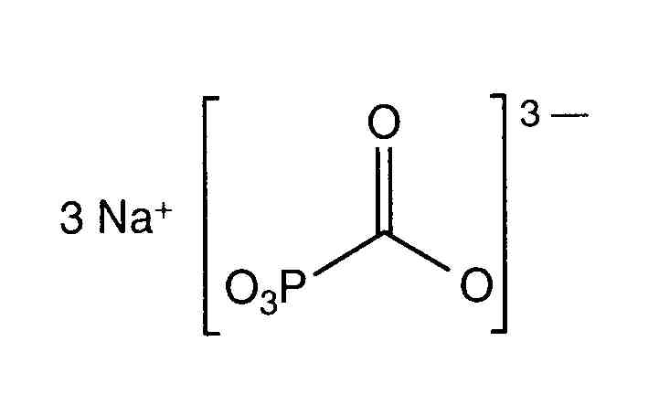
Antiviral   Foscarnet sodium  
Inyectables
Estabilidad en solucion Estabilidad en mezcla Factores que influyen sobre la estabilidad Compatibilidades método de inyección Bibliografía pdf
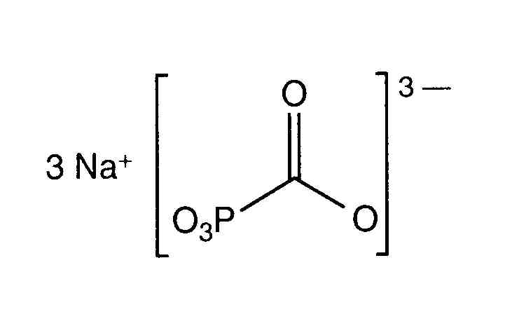
   Estructura química  

Nombre comercial   Nombre comercial     

Los nombres comerciales son orientativos y los excipientes de la formulación pueden ser distintos dependiendo del país y del laboratorio fabricante.

Foscarnet Argentina, Chile, Colombia, Ecuador, España, Estados Unidos de América, Marruecos, México, Portugal
Foscavir Alemania, Australia, Austria, Bélgica, España, Estados Unidos de América, Francia, Gran Bretaña, Grecia, Hungría, Italia, Luxemburgo, Nueva Zelanda, Países Bajos, Suecia, Suiza
método de inyección   método de inyección :Foscarnet sodium     
Voie
Perfusión intravenosa

  Mentions Légales