Última actualização :
18/03/2026
Antiviral   Foscarnet sodium  
injetável
Estabilidade em soluções simples Estabilidade em misturas Factores que afectam a sua estabilidade Compatibilidade Método de administração Bibliografía pdf
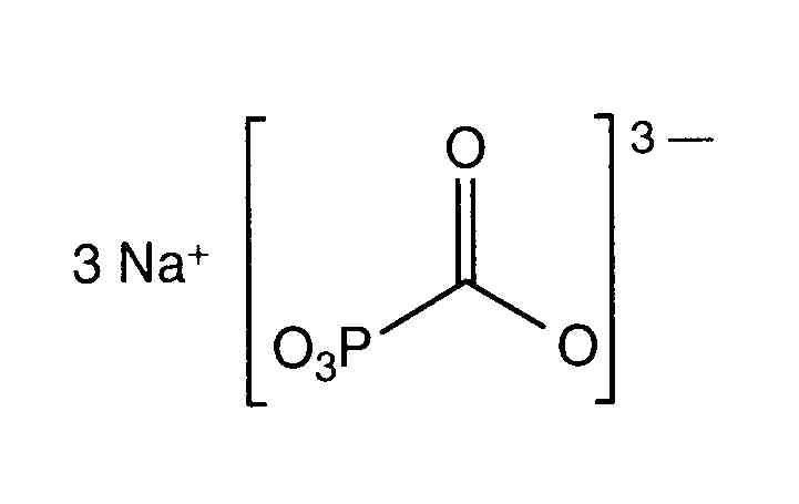
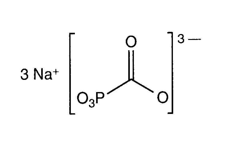
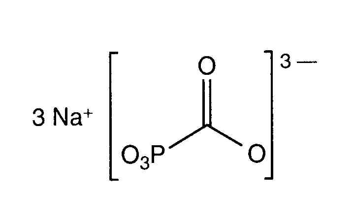
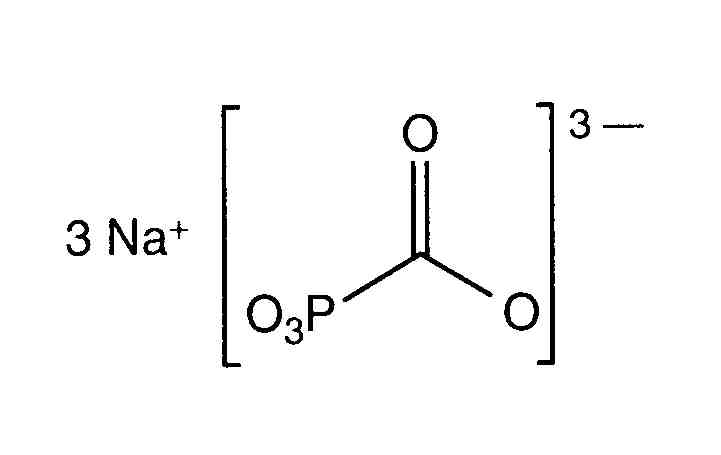
   estrutura química  

Nomes comerciais nos diversos países   Nomes comerciais nos diversos países     

OS NOMES COMERCIAIS SÃO INDICATIVOS E OS EXCIPIENTES DA FORMULAÇÃO PODEM SER DIFERENTES CONFORME O PAÍS E FABRICANTE.

Foscarnet Argentina, Chilli, Colômbia, Equator, Espanha, Estados Unidos de América, México, Peru, Portugal
Foscavir Alemanha, Australia, Austria, Bélgica, Espanha, Estados Unidos de América, França, Gran-bretanha, Grècia, Hungria, Itália, Luxemburgo, nova Zelândia, Países Baixos, Suècia, Suicia
Método de administração   Método de administração :Foscarnet sodium     
Voie
perfusão intravenosa

  Mentions Légales