آخر تحديث :
18/03/2026
المضادة للفيروسات   Foscarnet sodium  
حقن
الاستقرار في حلول استقرار مخاليط العوامل التي تؤثر على الاستقرار التوافق طريقة التعاطي مراجع pdf
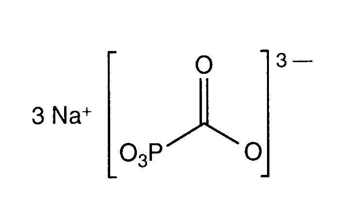
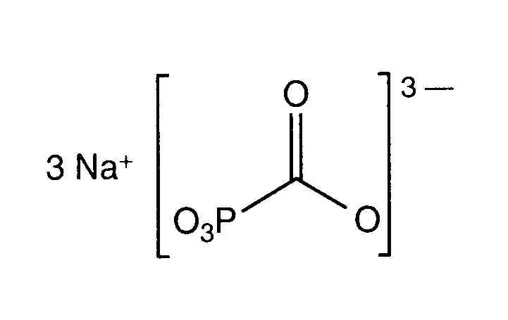
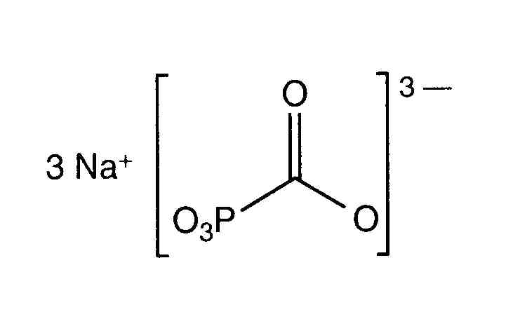
   التركيب الكيميائي  

حجز الاسم التجاري   حجز الاسم التجاري     

تحذير الأسماء التجاريه المختلفه قد تحتوي علي محتوي إضافات مختلفة حسب الدوله و المعمل

Foscarnet إسبانيا, الأرجنتين, الإكوادور, البرتغال, المكسيك, الولايات المتحدة, بيرو, تشيلي, كولومبيا
Foscavir أستراليا, ألمانيا, إسبانيا, إيطاليا, السويد, النمسا, الولايات المتحدة, بريطانيا العظمي, بلجيكا, زيلاندا الجديدة, سويسرا, فرنسا, لوكسمبورغ, هنغاريا, هولندا, يونان
طريقة التعاطي   طريقة التعاطي :Foscarnet sodium     
Voie
الحقن الوريدي   المستمر

  Mentions Légales