Ultimele actualizari :
18/03/2026
Antiviral   Foscarnet sodium  
Injectabil
Stabilitatea in solutie Stabilitatea in amestec Factorii care influenteaza stabilitatea Compatibilitate Microunde Bibliografie pdf
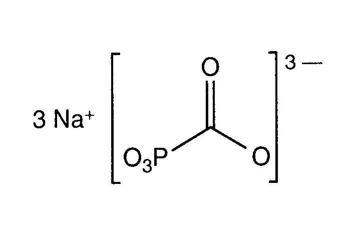
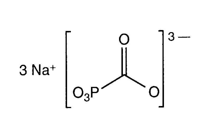
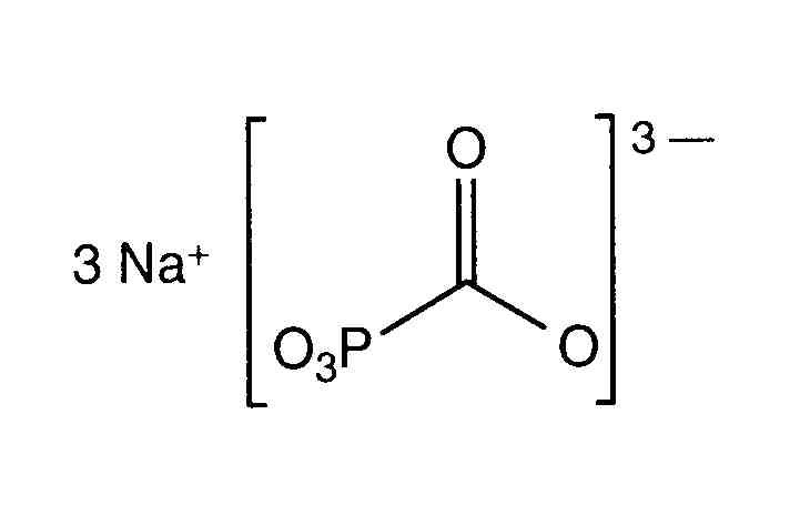
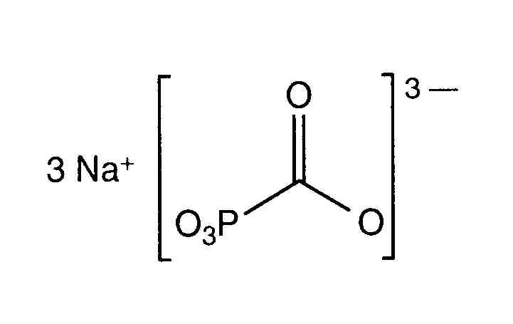
   Formula chimica  

Denumirea comerciala   Denumirea comerciala     

Trade names are indicative and excipients composition can be different depending on the country and manufacturers

Foscarnet Argentina, Chilli, Columbia, Ecuador, Mexic, Peru, Portugalia, Spania, SUA
Foscavir Australia, Austria, Belgia, Elvetia, Franta, Germania, Grecia, Italia, Luxemburg, Marea Britanie, noua Zeelandă, Olanda, Spania, SUA, Suedia, Ungaria
Microunde   Microunde :Foscarnet sodium     
Voie
Perfuzie intravenoasa

  Mentions Légales