Останнє оновлення :
27/11/2025
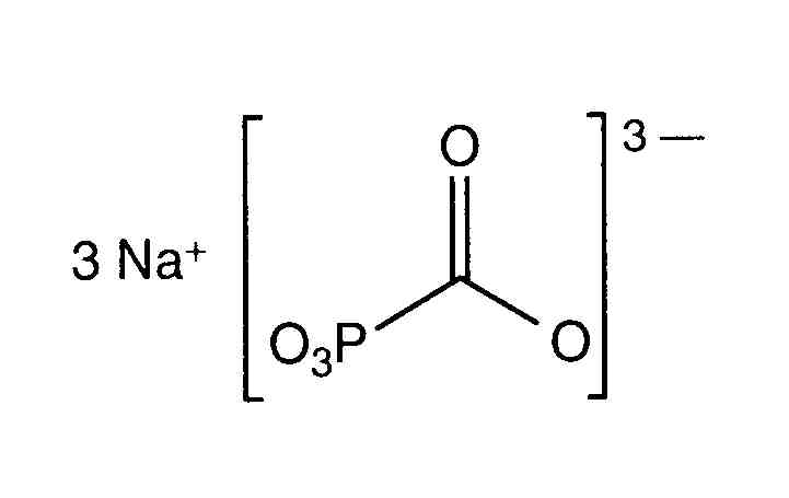
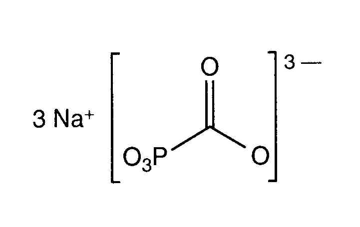
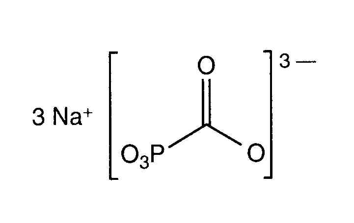
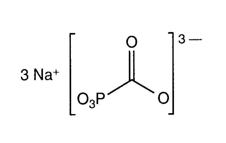
Противірусні ліки   Foscarnet sodium  
ін'єкція
Стійкість в розчинах Стійкість сумішей Фактори, що впливають на стабільність Сумісність Шлях введення Список літератури pdf
   Хімічна структура  

Торгова назва   Торгова назва     

Торгові назви є орієнтовними, а склад допоміжних речовин може бути різним залежно від країни та виробника

Foscarnet Іспанія, Аргентина, Еквадор, Колумбія, Мексика, Перу, Португалія, Сполучені Штати Америки, Чилі
Foscavir Іспанія, Італія, Австрія, Австралія, Бельгія, Великобританія, Греція, Люксембург, Нідерланди, Німеччина, Нова Зеландія, Сполучені Штати Америки, Угорщина, Франція, Швейцарія, Швеція
Шлях введення   Шлях введення :Foscarnet sodium     
Маршрут
Внутрішньовенне вливання

  Mentions Légales