Ultimo aggiornamento :
27/11/2025
Antivirale   Foscarnet sodium  
Iniezione
Stabilità in soluzione Stabilità in miscela Fattori che influenzano la stabilità Compatibilità metodo di iniezione Bibliografia pdf
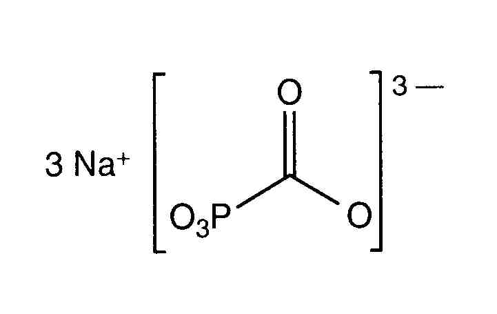
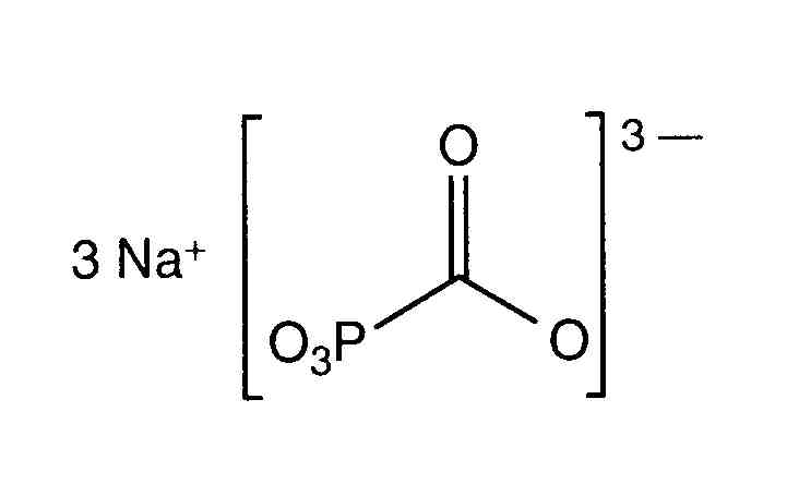
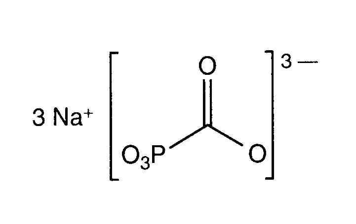
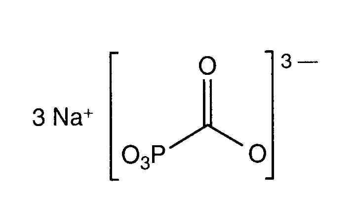
   Struttura chimica  

Nome commerciale   Nome commerciale     

Trade names are indicative and excipients composition can be different depending on the country and manufacturers

Foscarnet Argentina, Chile, Colombia, Ecuador, Messico, Perù, Portogallo, Spagna, Stati Uniti d’America
Foscavir Australia, Austria, Belgio, Francia, Germania, Gran Bretagna, Grecia, Italia, Lussemburgo, nuova Zelanda, Paesi Bassi, Spagna, Stati Uniti d’America, Svezia, Svizzera, Ungheria
metodo di iniezione   metodo di iniezione :Foscarnet sodium     
Voie
Flebo endovenosa

  Mentions Légales