Последнее обновление :
27/11/2025
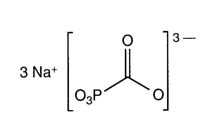
Противовирусное средство   Foscarnet sodium  
Инъекция
Стабильность растворов Стабильность смесей Факторы, которые влияют на стабильность Совместимость Способы введения Библиография pdf
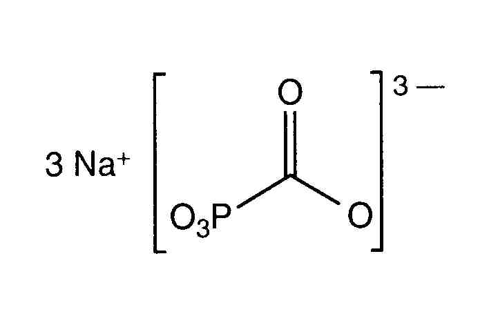
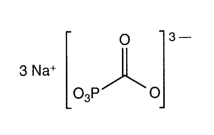
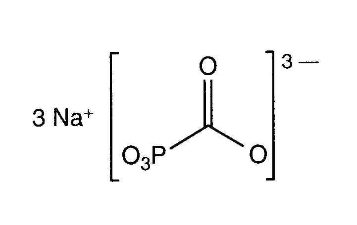
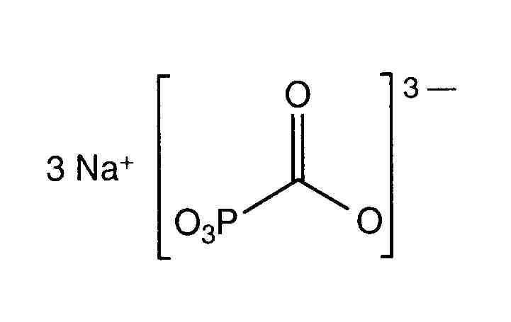
   Химическая структура  

Товарное название   Товарное название     

Trade names are indicative and excipients composition can be different depending on the country and manufacturers

Foscarnet Аргентина, Испания, Колумбия, Мексика, Перу, Португалия, Соединённые Штаты Америки, чили, Эквадор
Foscavir Австралия, Австрия, Бельгия, Великобритания, Венгрия, Германия, Голландия, Греция, Испания, Италия, Люксембург, новая Зеландия, Соединённые Штаты Америки, Франция, Швейцария, Швеция
Способы введения   Способы введения :Foscarnet sodium     
Voie
Интравенная, внутривенная инфузия

  Mentions Légales