Senaste uppdateringen :
18/03/2026
Antiviralt medel   Foscarnet sodium  
injektion
Lösningars stabilitet Stabilitet i blandningar Faktorer som påverkar stabiliteten Kompatibilitet Administreringssätt Hänvisningar pdf
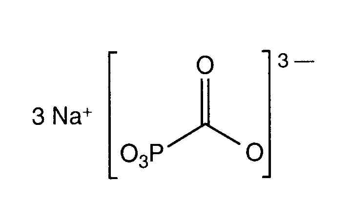
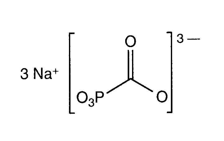
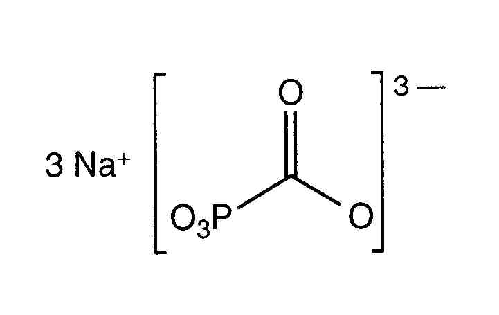
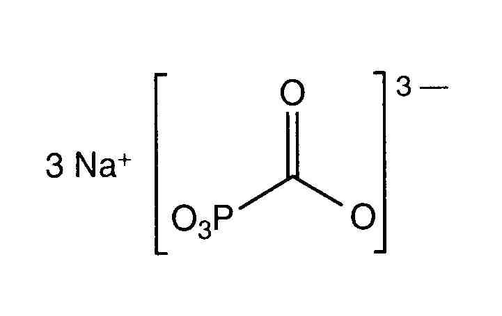
   Molekylstruktur  

Varunamn   Varunamn     

Angivna handelsnamn på läkemedel är enbart vägledande då formulering inklusive hjälpämnen kan variera mellan länder och tillverkare

Foscarnet Argentina, Chile, Colombia, Ecuador, Förenta Staterna, Mexiko, Peru, Portugal, Spanien
Foscavir Australien, Belgien, Förenta Staterna, Frankrike, Grekland, Italien, Luxemburg, Nederländerna, nya Zeeland, Österrike, Schweiz, Spanien, Storbritannien, Sverige, Tyskland, Ungern
Administreringssätt   Administreringssätt :Foscarnet sodium     
Voie
Intravenös infusion

  Mentions Légales