Siste oppdatering :
27/11/2025
Antiviralt middel   Foscarnet sodium  
Injeksjon
Oppløsningsstabilitet Stabilitet i blandinger Faktorer som påvirker stabiliteten Kompatibilitet Administrasjonsmåte Referanser pdf
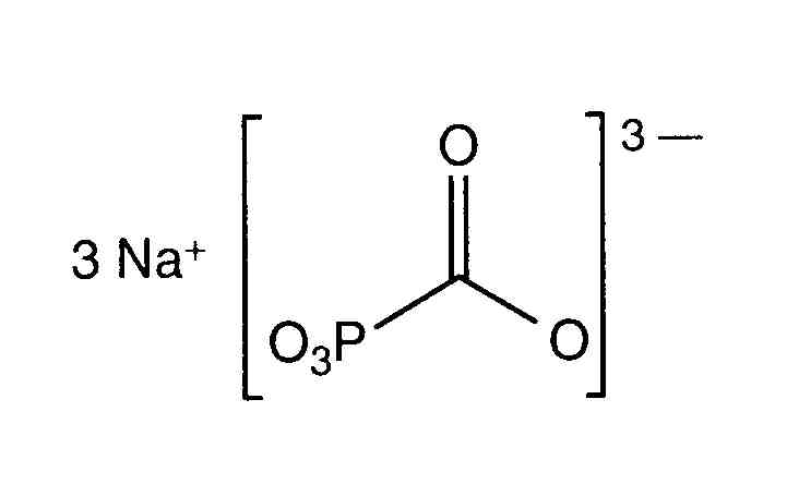
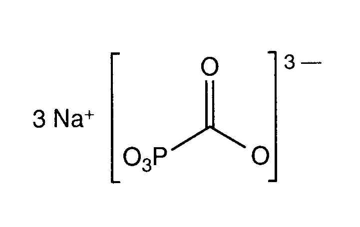
   Kjemisk struktur  

Handelsnavn   Handelsnavn     

Handelsnavn er veiledende og sammensetning av hjelpestoffer kan være forskjellig avhengig av land og produsent

Foscarnet Argentina, Chile, Colombia, Ecuador, Mexico, Peru, Portugal, Spania, USA
Foscavir Australia, Belgia, Frankrike, Hellas, Italia, Luxembourg, Nederland, New Zealand, Spania, Storbritannia, Sveits, Sverige, Tyskland, Ungarn, USA, Østerrike
Administrasjonsmåte   Administrasjonsmåte :Foscarnet sodium     
Voie
Intravenøs infusjon

  Mentions Légales