Utolsó frissítés :
18/03/2026
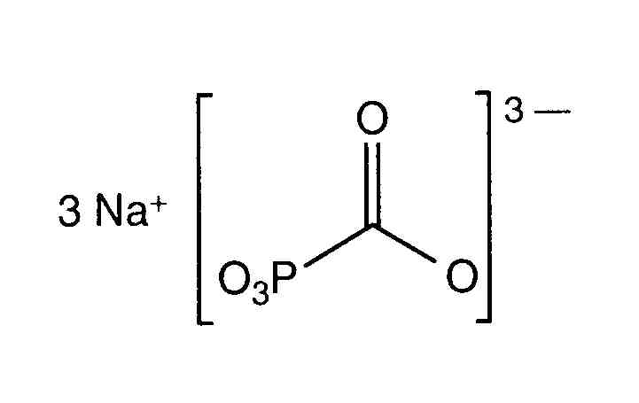
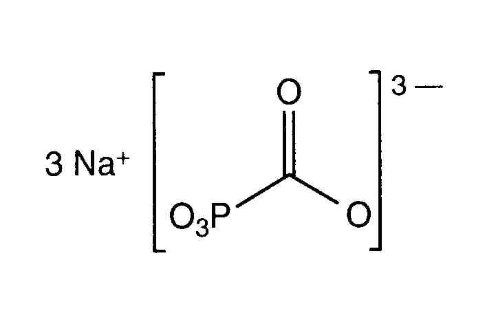
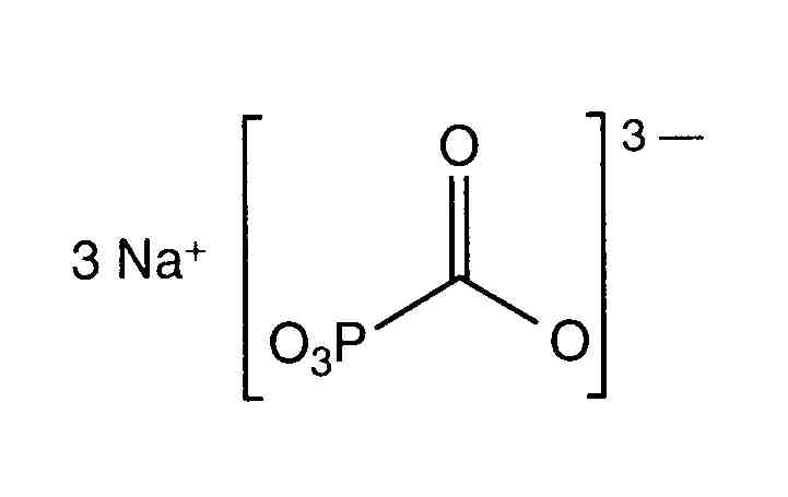
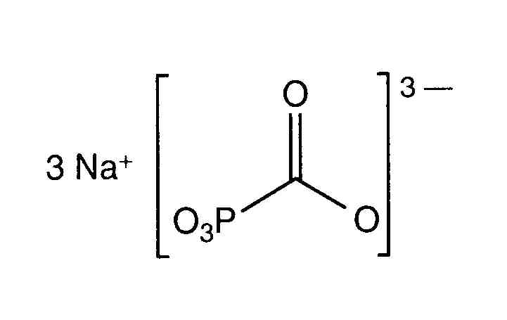
Vírusellenes szer   Foscarnet sodium  
Injekció
Az oldatok stabilitása A keverékek stabilitása Stabilitást befolyásoló tényezők Kompatibilitás Az alkalmazás módja Irodalom pdf
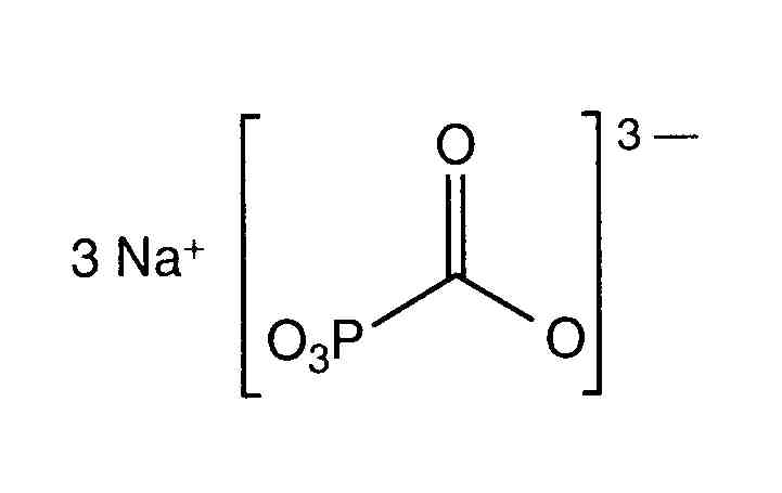
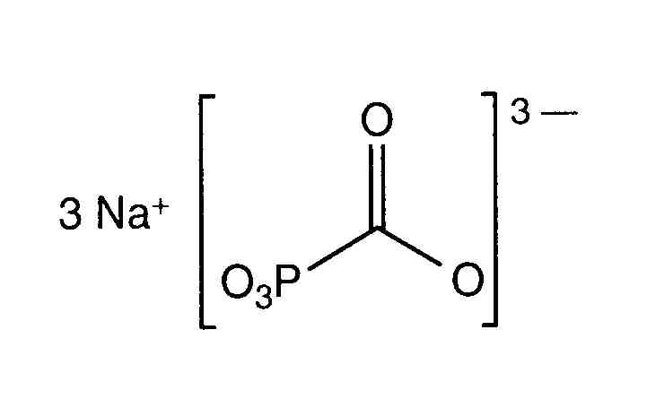
   Kémiai szerkezet   

Kereskedelmi név   Kereskedelmi név     

A kereskedelmi név meghatározó jelentőségű: a készítmények összetétele országonként, előállítóként eltérő lehet

Foscarnet Amerikai Egyesült Államok, Argentína, Chile, Colombia, Ecuador, Mexikó, Peru, Portugália, Spanyolország
Foscavir Amerikai Egyesült Államok, Ausztrália, Ausztria, Belgium, Franciaország, Görögország, Hollandia, Luxemburg, Magyarország, Nagy-Britannia, Németország, Olaszország, Spanyolország, Svájc, Svédország, új-Zéland
Az alkalmazás módja   Az alkalmazás módja :Foscarnet sodium     
Voie
Intravénás infúzió

  Mentions Légales