Son güncelleme :
18/03/2026
Vazodilatör   Isosorbide dinitrate  
Enjeksiyon
Çözeltilerin stabilitesi Karışımlardaki stabilitesi Stabiliteyi etkileyen faktörler Uyumluluk Uygulama yöntemi Kaynaklar pdf
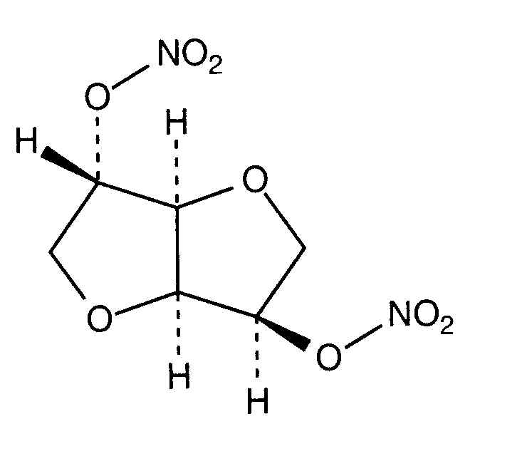
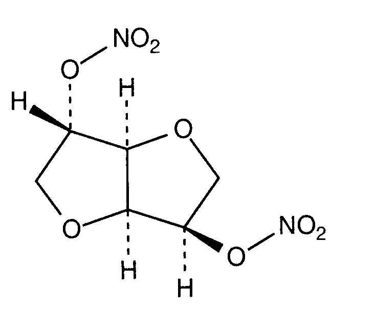
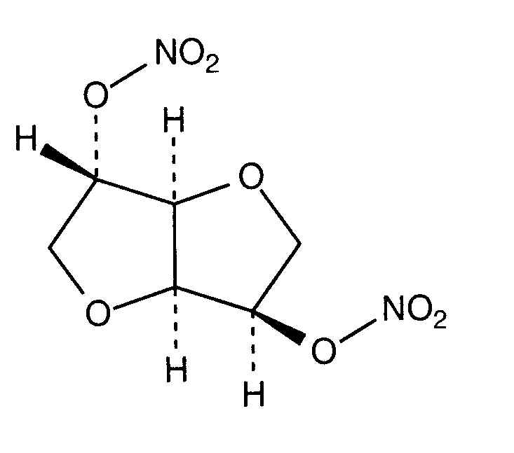
   Kimyasal yapı   

Ticari isim   Ticari isim     

Trade names are indicative and excipients composition can be different depending on the country and manufacturers

Angsobide Malezya
Cedocard Hollanda
Diniket İtalya
Dinit Büyük Britanya
Ekilbran Meksika
Isoket Avusturya, Birleşik Arap Emirlikleri, Büyük Britanya, İrlanda, İsviçre, Lüksemburg, Malezya, Meksika, Mısır, Peru, Polonya, Portekiz, Suudi Arabistan, Venezuela
Isonit Ekvador, Peru
Nitrosid Finlandiya
Nitrosorbide İtalya
Risordan Fransa
Zanisor Meksika
Çözeltilerin stabilitesi   Enjeksiyon    Çözeltilerin stabilitesi : Isosorbide dinitrate     
Saklama kabı Çözücü Konsantrasyon Isı Saklama    Stabilite süresi Kaynaklar
Cam Sodyum klorür % 0,9 0,095 mg/ml 21°C Işıktan koruyunuz
24 Zaman
350

Polietilen Sodyum klorür % 0,9 0,02 mg/ml 22°C Işıktan koruyunuz
24 Zaman
1067
Kanıt düzeyi C

Polietilen Sodyum klorür % 0,9 0,02 mg/ml 4°C Işıktan koruyunuz
24 Zaman
1067
Kanıt düzeyi C

Polietilen Sodyum klorür % 0,9 0,095 mg/ml 21°C Işıktan koruyunuz
24 Zaman
350

Polietilen Glukoz %5 0,02 mg/ml 22°C Işıktan koruyunuz
24 Zaman
1067
Kanıt düzeyi C

Polietilen Glukoz %5 0,02 mg/ml 4°C Işıktan koruyunuz
24 Zaman
1067
Kanıt düzeyi C

Şırınga polipropilen Sodyum klorür % 0,9 0,6 mg/ml 2-8°C Işıktan koruyunuz
28 Gün
4374
Kanıt düzeyi C+


  Mentions Légales