Zadnji put ažurirano :
27/11/2025
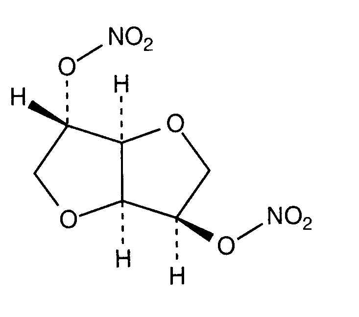
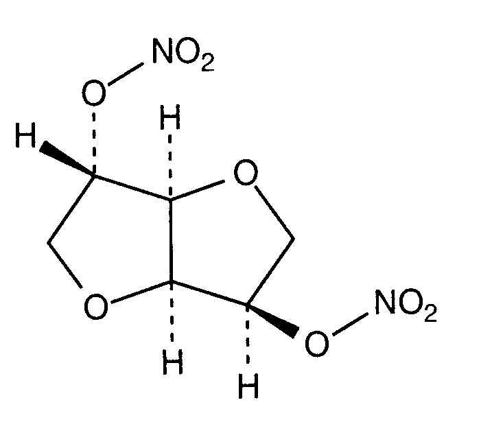
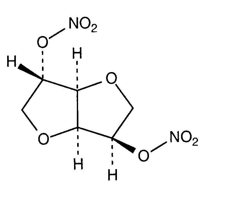
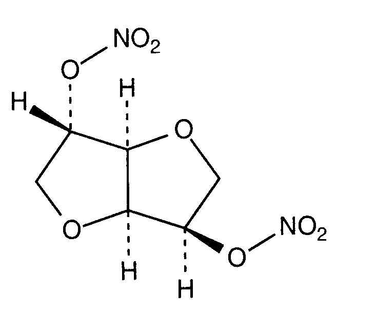
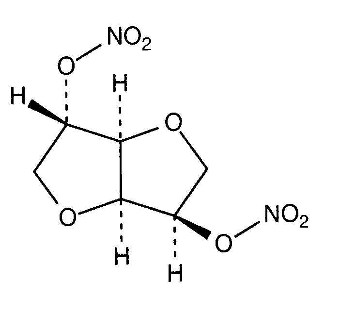
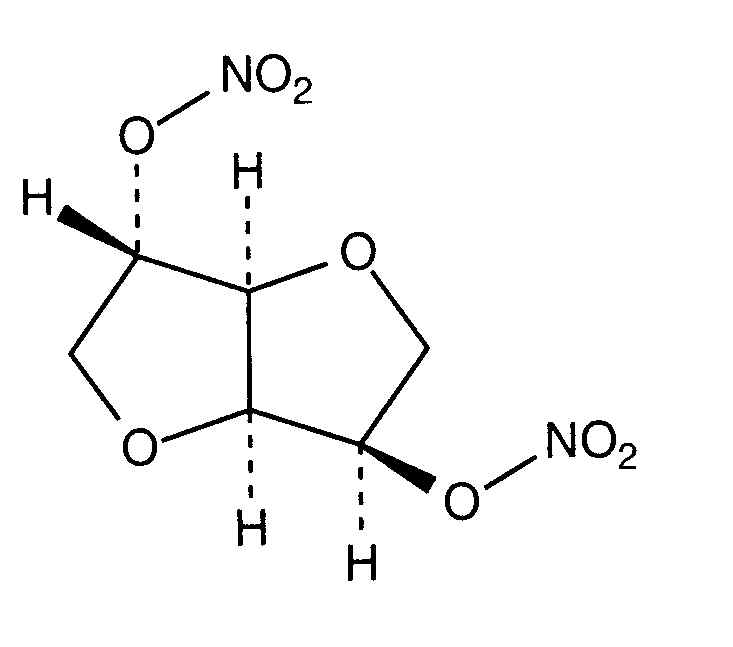
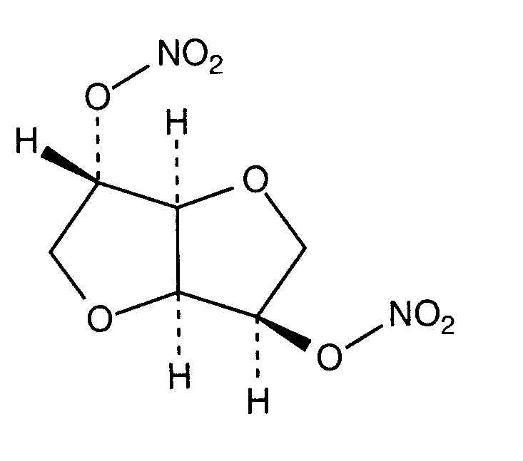
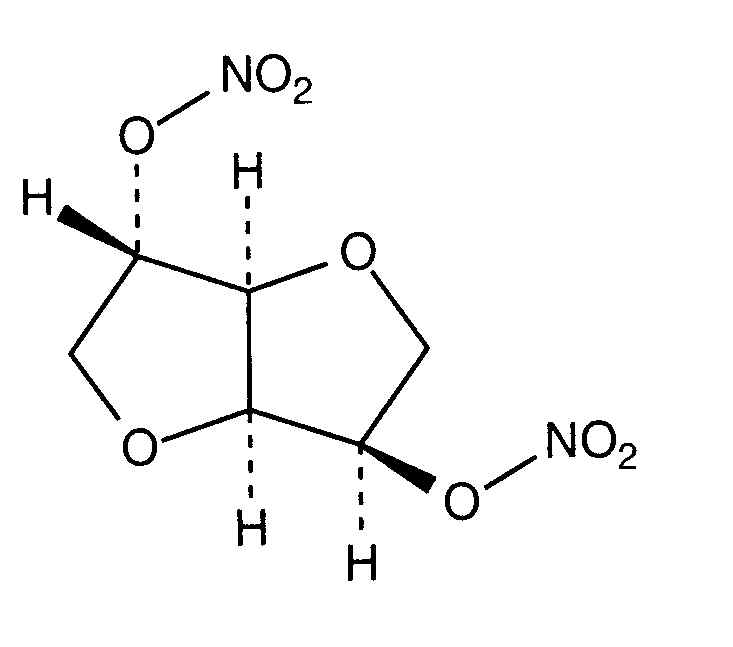
vazodilatator   Isosorbide dinitrate  
injekcija
Stabilizacija rješenja Stabilnost mješavine Stabilizacijski faktor Kompatibilnosti način davanja lijeka Bibliografija pdf
   Kemijska struktura  

Nekomercijalni   Nekomercijalni     

Zaštićeni nazivi su indikativni i sastav ekscipijensa može biti različit ovisno o državi i laboratorijima

Angsobide Malezija
Cedocard Nizozemska
Diniket Italija
Dinit Velika Britanija
Ekilbran Meksiko
Isoket Austrija, Egipat, Irska, Luksemburg, Malezija, Meksiko, Peru, Poljska, Portugal, Saudijska Arabija, Švicarska, Ujedinjeni Arapski Emirati, Velika Britanija, Venecuela
Isonit Ekvador, Peru
Nitrosid Finska
Nitrosorbide Italija
Risordan Francuska
Zanisor Meksiko
način davanja lijeka   način davanja lijeka :Isosorbide dinitrate     
Voie
intravenozna infuzija
intraarterijalna

  Mentions Légales