Zadnji put ažurirano :
18/03/2026
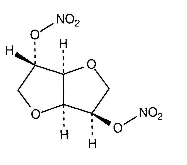
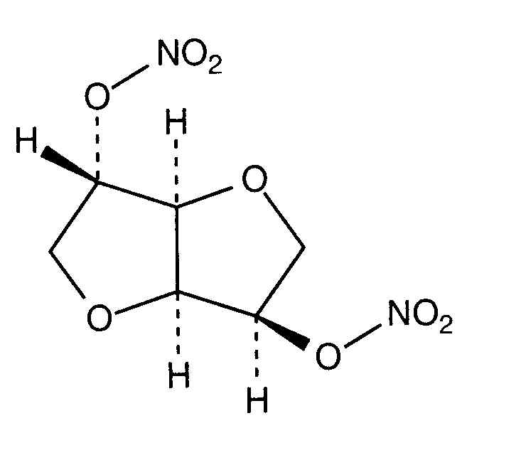
vazodilatator   Isosorbide dinitrate  
injekcija
Stabilizacija rješenja Stabilnost mješavine Stabilizacijski faktor Kompatibilnosti način davanja lijeka Bibliografija pdf
   Kemijska struktura  

Nekomercijalni   Nekomercijalni     

Zaštićeni nazivi su indikativni i sastav ekscipijensa može biti različit ovisno o državi i laboratorijima

Angsobide Malezija
Cedocard Nizozemska
Diniket Italija
Dinit Velika Britanija
Ekilbran Meksiko
Isoket Austrija, Egipat, Irska, Luksemburg, Malezija, Meksiko, Peru, Poljska, Portugal, Saudijska Arabija, Švicarska, Ujedinjeni Arapski Emirati, Velika Britanija, Venecuela
Isonit Ekvador, Peru
Nitrosid Finska
Nitrosorbide Italija
Risordan Francuska
Zanisor Meksiko
Stabilizacija rješenja   injekcija   Stabilizacija rješenja : Isosorbide dinitrate     
Kontejner sredstvo za rastapanje koncentracija temperatura Konzerviranje Trajanje stabilnosti Bibliografija
čaša natrijumkorid 0,9% 0,095 mg/ml 21°C Zaštićeno od svjetlosti
24 sat
350

polietilen natrijumkorid 0,9% 0,02 mg/ml 22°C Zaštićeno od svjetlosti
24 sat
1067
Razina dokaza C

polietilen natrijumkorid 0,9% 0,02 mg/ml 4°C Zaštićeno od svjetlosti
24 sat
1067
Razina dokaza C

polietilen natrijumkorid 0,9% 0,095 mg/ml 21°C Zaštićeno od svjetlosti
24 sat
350

polietilen glukoza 5% 0,02 mg/ml 22°C Zaštićeno od svjetlosti
24 sat
1067
Razina dokaza C

polietilen glukoza 5% 0,02 mg/ml 4°C Zaštićeno od svjetlosti
24 sat
1067
Razina dokaza C

špric polipropilen natrijumkorid 0,9% 0,6 mg/ml 2-8°C Zaštićeno od svjetlosti
28 dan
4374
Razina dokaza C+


  Mentions Légales