Viimeisin päivitys :
18/03/2026
Vasodilataattorit   Isosorbide dinitrate  
Injektioneste
Stabilius liuoksessa Stabilius seoksissa Tekijät, jotka vaikuttavat stabiliuteen Yhteensopivuus Antotapa Viitteet pdf
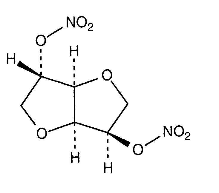
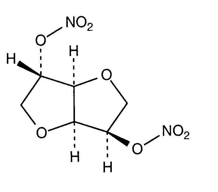
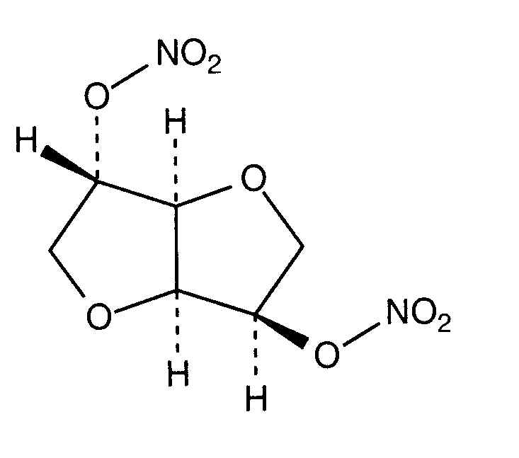
   Kemiallinen rakenne  

Kauppanimi   Kauppanimi     

Trade names are indicative and excipients composition can be different depending on the country and manufacturers

Angsobide Malesia
Cedocard Hollanti
Diniket Italia
Dinit Iso-Britannia
Ekilbran Meksiko
Isoket Egypti, Irlanti, Iso-Britannia, Itävalta, Luxemburg, Malesia, Marokko, Meksiko, Portugali, Puola, Saudi-Arabia, Sveitsi, Venezuela, Yhdistyneet arabiemiirikunnat
Isonit Ecuador, Marokko
Nitrosid Suomi
Nitrosorbide Italia
Risordan Ranska
Zanisor Meksiko
Stabilius liuoksessa   Injektioneste   Stabilius liuoksessa : Isosorbide dinitrate     
Astia Liuotin Konsentraatio Lämpötila Säilytys Vakauden kesto Viitteet
Lasi Natriumkloridi 0,9% 0,095 mg/ml 21°C Suojattava valolta
24 tunti
350

Polyetyleeni Natriumkloridi 0,9% 0,02 mg/ml 22°C Suojattava valolta
24 tunti
1067
Näytön laajuus C

Polyetyleeni Natriumkloridi 0,9% 0,02 mg/ml 4°C Suojattava valolta
24 tunti
1067
Näytön laajuus C

Polyetyleeni Natriumkloridi 0,9% 0,095 mg/ml 21°C Suojattava valolta
24 tunti
350

Polyetyleeni Glukoosi 5% 0,02 mg/ml 22°C Suojattava valolta
24 tunti
1067
Näytön laajuus C

Polyetyleeni Glukoosi 5% 0,02 mg/ml 4°C Suojattava valolta
24 tunti
1067
Näytön laajuus C

Ruisku  polypropeeni Natriumkloridi 0,9% 0,6 mg/ml 2-8°C Suojattava valolta
28 Päivä
4374
Näytön laajuus C+


  Mentions Légales