Seneste opdatering :
17/12/2025
Vasodilator   Isosorbide dinitrate  
Injektion
Stabilitet i (vandige) opløsninger Stabilitet i blandinger Faktorer der påvirker stabiliteten Kompatibilitet Administrationsvej Bibliografi pdf
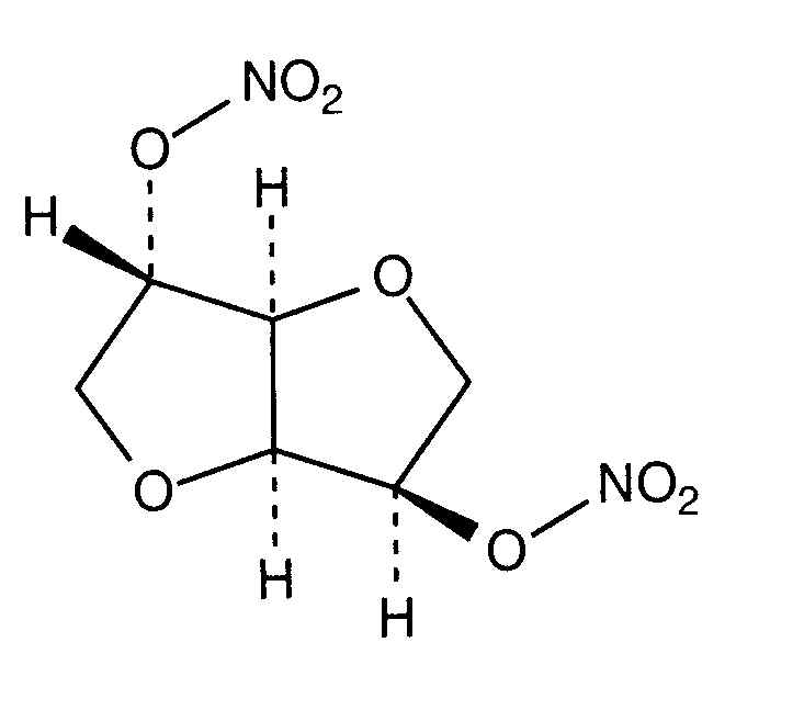
   Kemisk struktur  

Handelsnavn   Handelsnavn     

Handel navne er vejledende og hjælpestoffer sammensætning kan være forskellig afhængigt af landet og laboratorier

Angsobide Malaysia
Cedocard Holland
Diniket Italien
Dinit Storbritanien
Ekilbran Mexico
Isoket Forenede Arabiske Emirater, Irland, Luxemborg, Malaysia, Marokko, Mexico, Polen, Portugal, Saudi-Arabien, Schweiz, Storbritanien, Venezuela, Ægypten, Østrig
Isonit Ecuador, Marokko
Nitrosid Finland
Nitrosorbide Italien
Risordan Frankrig
Zanisor Mexico
Stabilitet i (vandige) opløsninger   Injektion   Stabilitet i (vandige) opløsninger : Isosorbide dinitrate     
Beholder Opløsningsmiddel Koncentration Temperatur Konservering Varighed af stabilitet Bibliografi
Glas 0,9 % Natriumklorid 0,095 mg/ml 21°C Beskyt mod lys
24 Time
350

Polyethylen 0,9 % Natriumklorid 0,02 mg/ml 22°C Beskyt mod lys
24 Time
1067
Level af bevismateriale C

Polyethylen 0,9 % Natriumklorid 0,02 mg/ml 4°C Beskyt mod lys
24 Time
1067
Level af bevismateriale C

Polyethylen 0,9 % Natriumklorid 0,095 mg/ml 21°C Beskyt mod lys
24 Time
350

Polyethylen 5 % Glukose 0,02 mg/ml 22°C Beskyt mod lys
24 Time
1067
Level af bevismateriale C

Polyethylen 5 % Glukose 0,02 mg/ml 4°C Beskyt mod lys
24 Time
1067
Level af bevismateriale C

sprøjte polypropylen 0,9 % Natriumklorid 0,6 mg/ml 2-8°C Beskyt mod lys
28 Dag
4374
Level af bevismateriale C+


  Mentions Légales