Siste oppdatering :
18/03/2026
Vasodilatator   Isosorbide dinitrate  
Injeksjon
Oppløsningsstabilitet Stabilitet i blandinger Faktorer som påvirker stabiliteten Kompatibilitet Administrasjonsmåte Referanser pdf
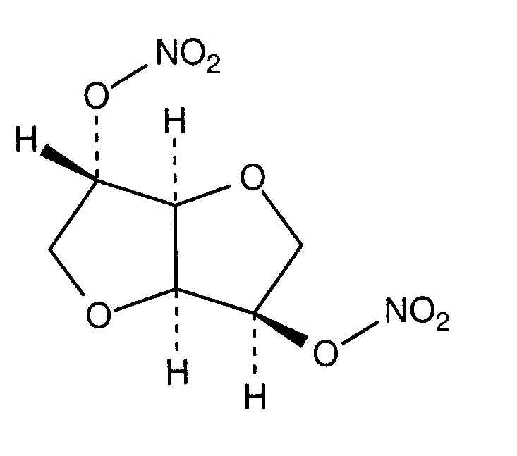
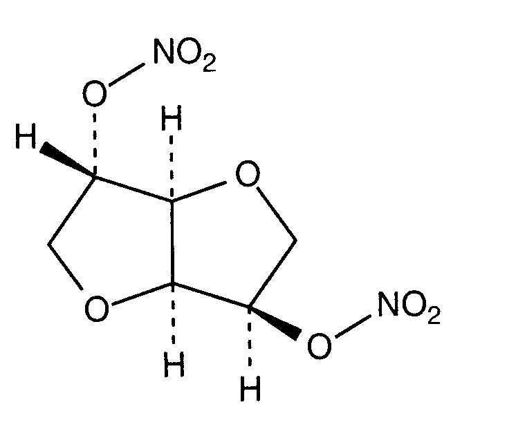
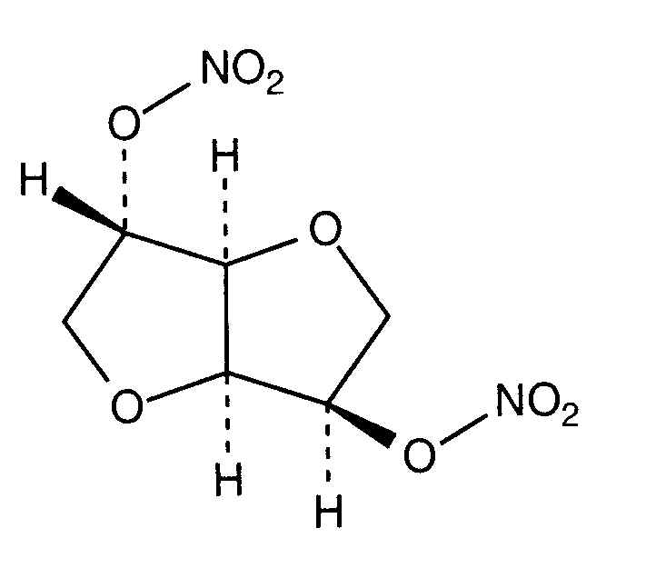
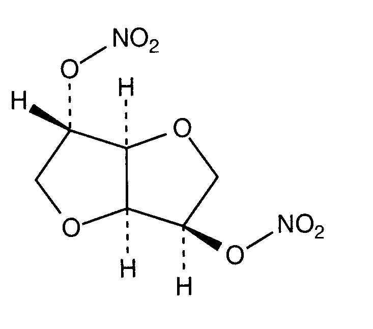
   Kjemisk struktur  

Handelsnavn   Handelsnavn     

Handelsnavn er veiledende og sammensetning av hjelpestoffer kan være forskjellig avhengig av land og produsent

Angsobide Malaysia
Cedocard Nederland
Diniket Italia
Dinit Storbritannia
Ekilbran Mexico
Isoket De forente arabiske emirater, Egypt, Irland, Luxembourg, Malaysia, Mexico, Peru, Polen, Portugal, Saudi-Arabia, Storbritannia, Sveits, Venezuela, Østerrike
Isonit Ecuador, Peru
Nitrosid Finland
Nitrosorbide Italia
Risordan Frankrike
Zanisor Mexico
Oppløsningsstabilitet   Injeksjon   Oppløsningsstabilitet : Isosorbide dinitrate     
Beholder Oppløsningsmiddel Konsentrasjon Temperatur Oppbevaring Varighet av stabilitet Referanser
Glass Natriumklorid 0,9 % 0,095 mg/ml 21°C Beskyttes mot lys
24 Tid
350

Polyetylen Natriumklorid 0,9 % 0,02 mg/ml 22°C Beskyttes mot lys
24 Tid
1067
Bevisgrad C

Polyetylen Natriumklorid 0,9 % 0,02 mg/ml 4°C Beskyttes mot lys
24 Tid
1067
Bevisgrad C

Polyetylen Natriumklorid 0,9 % 0,095 mg/ml 21°C Beskyttes mot lys
24 Tid
350

Polyetylen Glukose 5 % 0,02 mg/ml 22°C Beskyttes mot lys
24 Tid
1067
Bevisgrad C

Polyetylen Glukose 5 % 0,02 mg/ml 4°C Beskyttes mot lys
24 Tid
1067
Bevisgrad C

Sprøyte polypropylen Natriumklorid 0,9 % 0,6 mg/ml 2-8°C Beskyttes mot lys
28 Dag
4374
Bevisgrad C+


  Mentions Légales