Dernière mise à jour :
18/03/2026
Vasodilatateur   Isosorbide dinitrate  
injectable
Stabilité des solutions Stabilité en mélange Facteur influençant la stabilité Compatibilités Voie d’administration Bibliographie pdf
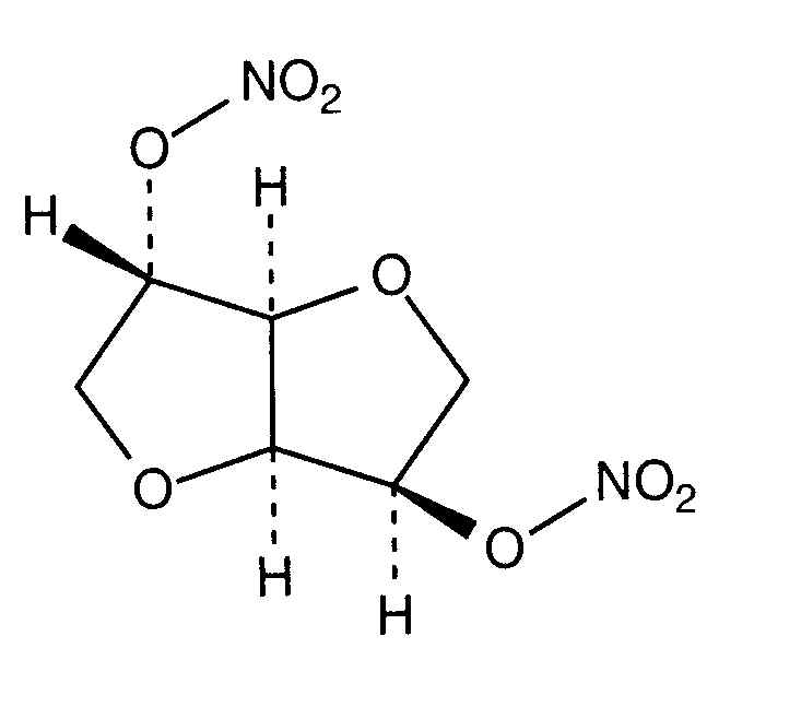
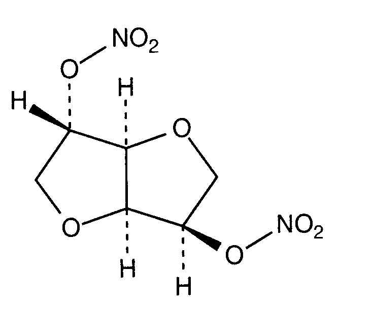
   Structure chimique  

Noms commerciaux   Noms commerciaux     

Les noms commerciaux sont donnés à titre indicatif et la composition en excipients peut être différente selon les pays et selon les laboratoires

Angsobide Malaisie
Cedocard Pays bas
Diniket Italie
Dinit Grande Bretagne
Ekilbran Mexique
Isoket Arabie Saoudite, Autriche, Egypte, Emirats Arabes Unis , Grande Bretagne, Irlande, Luxembourg, Malaisie, Mexique, Pérou, Pologne, Portugal, Suisse, Vénézuela
Isonit Equateur, Pérou
Nitrosid Finlande
Nitrosorbide Italie
Risordan France
Zanisor Mexique
Compatibilités   injectable   Compatibilités : Isosorbide dinitrate              
Cet écran indique les compatibilités ou incompatibilités avec, dans ce cas, le type d'incompatibilité (précipitation, changement de couleur, modification d'une émulsion, etc.). Les compatibilités présentées ici sont pour la plupart uniquement physiques, la stabilité chimique de chaque molécule étant rarement évaluée. L'évaluation de ces mélanges a été étudiée pour envisager la possibilité d'une administration en site Y au patient. Ces données ne peuvent pas être utilisées pour préparer des mélanges à l'avance dans des poches de perfusion ou des seringues. Ce type d'informations est disponible dans l'écran « Stabilité en mélange ».
Molécule Solvant Bibliographie

  Mentions Légales