Last update :
18/03/2026
Vasodilator   Isosorbide dinitrate  
injection
Stability in solutions Stability of mixtures Factors which affect stability Compatibility Route of administration References pdf
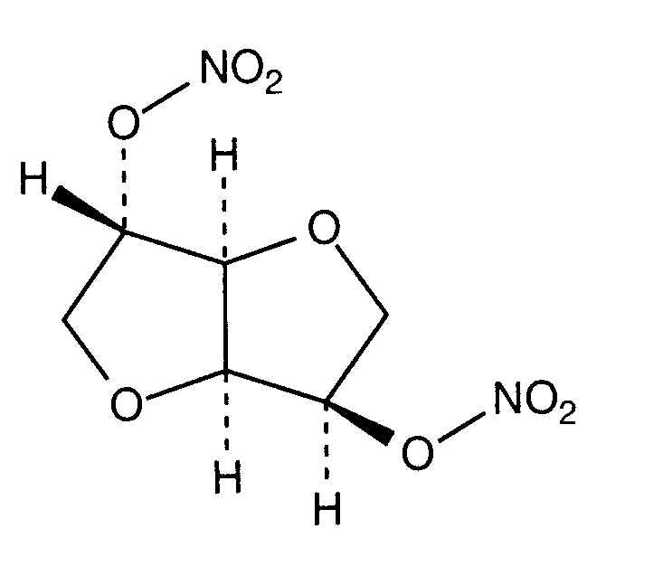
   Chemical structure  

Tradename   Tradename     

Trade names are indicative and excipients composition can be different depending on the country and manufacturers

Angsobide Malaysia
Cedocard Netherlands
Diniket Italy
Dinit Great Britain
Ekilbran Mexico
Isoket Austria, Egypt, Great Britain, Ireland, Luxembourg, Malaysia, Mexico, Peru, Poland, Portugal, Saudi Arabia, Switzerland, United Arab Emirates, Venezuela
Isonit Ecuador, Peru
Nitrosid Finland
Nitrosorbide Italy
Risordan France
Zanisor Mexico
Stability in solutions   injection   Stability in solutions : Isosorbide dinitrate     
Container Solvent Concentration Temperature Storage Duration of stability References
Glass Sodium chloride 0,9% 0,095 mg/ml 21°C Protect from light
24 Hour
350

Polyethylene Sodium chloride 0,9% 0,02 mg/ml 22°C Protect from light
24 Hour
1067
Level of evidence C

Polyethylene Sodium chloride 0,9% 0,02 mg/ml 4°C Protect from light
24 Hour
1067
Level of evidence C

Polyethylene Sodium chloride 0,9% 0,095 mg/ml 21°C Protect from light
24 Hour
350

Polyethylene Glucose 5% 0,02 mg/ml 22°C Protect from light
24 Hour
1067
Level of evidence C

Polyethylene Glucose 5% 0,02 mg/ml 4°C Protect from light
24 Hour
1067
Level of evidence C

Polypropylen Syringe Sodium chloride 0,9% 0,6 mg/ml 2-8°C Protect from light
28 Day
4374
Level of evidence C+


  Mentions Légales