Letztes “update” :
18/03/2026
Vasodilatator   Isosorbide dinitrate  
Injektion
Stabilität der Lösung Gemengestabilität Stabilitätbeeinflussende Faktoren Kompatibilitäten Applikationsart Literaturverzeichnis pdf
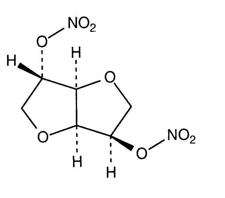
   Chemische Struktur  

Handelsmarke   Handelsmarke     

Handelsnamen sind als beispielhaft anzusehen. Sonstige Bestandteile können je nach Hersteller oder Land verschieden sein

Angsobide Malaysia
Cedocard Niederlande
Diniket Italien
Dinit Großbritannien
Ekilbran Mexiko
Isoket Ägypten, Großbritannien, Irland, Luxemburg, Malaysia, Mexiko, Österreich, Peru, Polen, Portugal, Saudi-Arabien, Schweiz, Venezuela, Vereinigte Arabische Emirate
Isonit Ecuador, Peru
Nitrosid Finnland
Nitrosorbide Italien
Risordan Frankreich
Zanisor Mexiko
Stabilität der Lösung   Injektion   Stabilität der Lösung : Isosorbide dinitrate     
Behälter Lösungsmittel Konzentration Temperatur Konservierung Dauer der Stabilität Literaturverzeichnis
Glas 0,9% Natriumchlorid 0,095 mg/ml 21°C Ohne Licht
24 Stunde
350

Polyäthylen 0,9% Natriumchlorid 0,02 mg/ml 22°C Ohne Licht
24 Stunde
1067
Evidenzgrad C

Polyäthylen 0,9% Natriumchlorid 0,02 mg/ml 4°C Ohne Licht
24 Stunde
1067
Evidenzgrad C

Polyäthylen 0,9% Natriumchlorid 0,095 mg/ml 21°C Ohne Licht
24 Stunde
350

Polyäthylen 5% Glucose 0,02 mg/ml 22°C Ohne Licht
24 Stunde
1067
Evidenzgrad C

Polyäthylen 5% Glucose 0,02 mg/ml 4°C Ohne Licht
24 Stunde
1067
Evidenzgrad C

 Spritze Polypropylen 0,9% Natriumchlorid 0,6 mg/ml 2-8°C Ohne Licht
28 Tag
4374
Evidenzgrad C+


  Mentions Légales