Poslední aktualizace :
18/03/2026
Kraujagysles plečiantis vaistas   Isosorbide dinitrate  
Įpurškimas
Tirpalų stabilumas Mišinių stabilumas Stabilumą lemiantys veiksniai Suderinamumas Leidimo būdai Bibliografija pdf
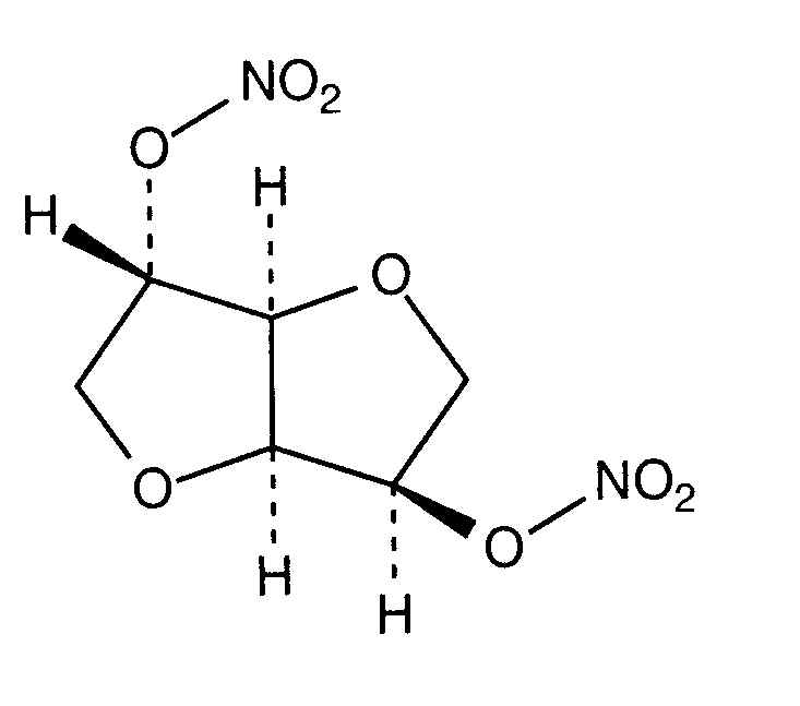
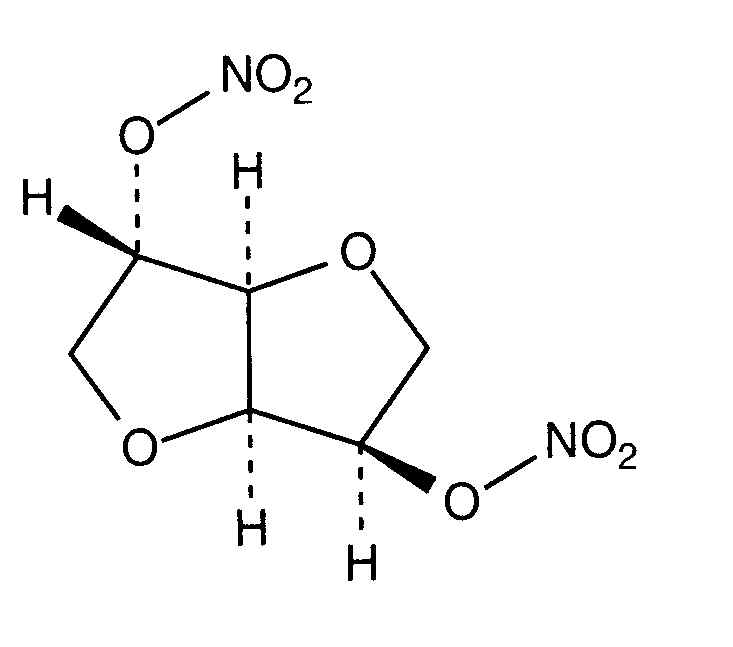
   Cheminė sandara  

Prekinis pavadinimas   Prekinis pavadinimas     

Trade names are indicative and excipients composition can be different depending on the country and manufacturers

Angsobide Malaizija
Cedocard Olandija
Diniket Italija
Dinit Didžioji Britanija
Ekilbran Meksikas
Isoket Airija, Austrija, Didžioji Britanija, Egiptas, Jungtiniai Arabų Emyratai, Lenkija, Liuksemburgas, Malaizija, Meksikas, Peru, Portugalija, Saudo Arabija, Šveicarija, Venesuela
Isonit Ekvadoras, Peru
Nitrosid Suomija
Nitrosorbide Italija
Risordan Prancūzija
Zanisor Meksikas
Tirpalų stabilumas   Įpurškimas   Tirpalų stabilumas : Isosorbide dinitrate     
Pakuotė Tirpiklis Koncentracija Temperatūra Laikymas Stabilumo trukmė Nuorodos
Stiklas Natrio chloridas 0,9% 0,095 mg/ml 21°C Apsaugotas nuo šviesos
24 Valanda
350

Polietilenas Natrio chloridas 0,9% 0,02 mg/ml 22°C Apsaugotas nuo šviesos
24 Valanda
1067
Bandymo lygis C

Polietilenas Natrio chloridas 0,9% 0,02 mg/ml 4°C Apsaugotas nuo šviesos
24 Valanda
1067
Bandymo lygis C

Polietilenas Natrio chloridas 0,9% 0,095 mg/ml 21°C Apsaugotas nuo šviesos
24 Valanda
350

Polietilenas Gliukozė 5% 0,02 mg/ml 22°C Apsaugotas nuo šviesos
24 Valanda
1067
Bandymo lygis C

Polietilenas Gliukozė 5% 0,02 mg/ml 4°C Apsaugotas nuo šviesos
24 Valanda
1067
Bandymo lygis C

Švirkštas polipropileno Natrio chloridas 0,9% 0,6 mg/ml 2-8°C Apsaugotas nuo šviesos
28 Diena
4374
Bandymo lygis C+


  Mentions Légales