Última actualização :
18/03/2026
Vasodilatador   Isosorbide dinitrate  
injetável
Estabilidade em soluções simples Estabilidade em misturas Factores que afectam a sua estabilidade Compatibilidade Método de administração Bibliografía pdf
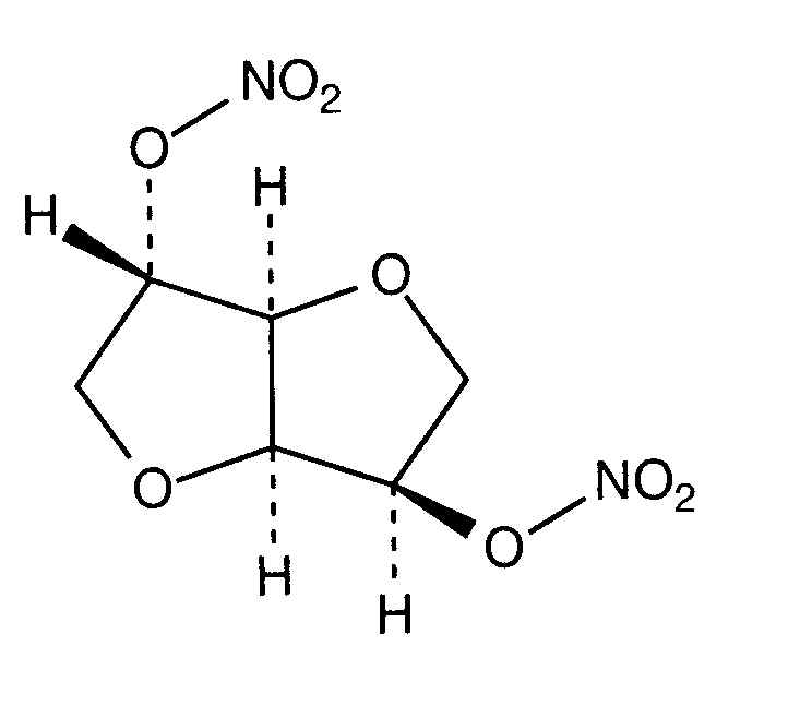
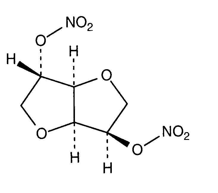
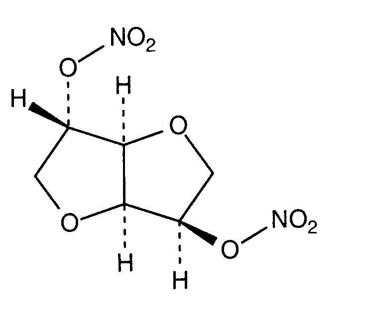
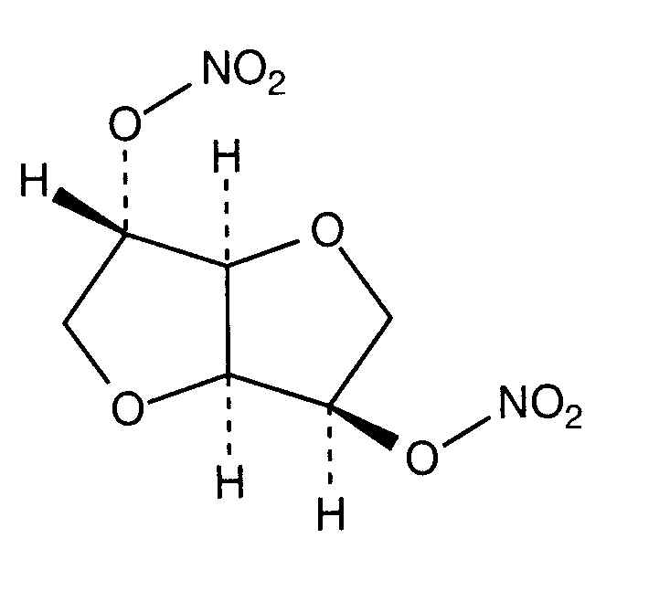
   estrutura química  

Nomes comerciais nos diversos países   Nomes comerciais nos diversos países     

OS NOMES COMERCIAIS SÃO INDICATIVOS E OS EXCIPIENTES DA FORMULAÇÃO PODEM SER DIFERENTES CONFORME O PAÍS E FABRICANTE.

Angsobide Malásia
Cedocard Países Baixos
Diniket Itália
Dinit Gran-bretanha
Ekilbran México
Isoket Arábia Saudita, Austria, Egipto, Emirados Árabes Unidos, Gran-bretanha, Irlanda, Luxemburgo, Malásia, México, Peru, Polonia, Portugal, Suicia, Venezuela
Isonit Equator, Peru
Nitrosid Finlandia
Nitrosorbide Itália
Risordan França
Zanisor México
Estabilidade em misturas   injetável   Estabilidade em misturas : Isosorbide dinitrate     
Ausência de dados

  Mentions Légales