Dernière mise à jour :
18/03/2026
Vasodilatateur   Isosorbide dinitrate  
injectable
Stabilité des solutions Stabilité en mélange Facteur influençant la stabilité Compatibilités Voie d’administration Bibliographie pdf
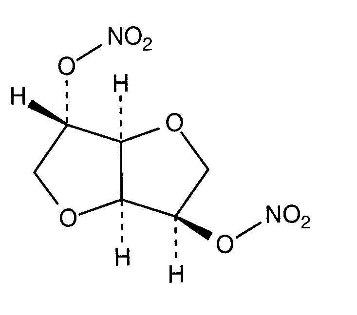
   Structure chimique  

Noms commerciaux   Noms commerciaux     

Les noms commerciaux sont donnés à titre indicatif et la composition en excipients peut être différente selon les pays et selon les laboratoires

Angsobide Malaisie
Cedocard Pays bas
Diniket Italie
Dinit Grande Bretagne
Ekilbran Mexique
Isoket Arabie Saoudite, Autriche, Egypte, Emirats Arabes Unis , Grande Bretagne, Irlande, Luxembourg, Malaisie, Mexique, Pérou, Pologne, Portugal, Suisse, Vénézuela
Isonit Equateur, Pérou
Nitrosid Finlande
Nitrosorbide Italie
Risordan France
Zanisor Mexique
Stabilité des solutions   injectable   Stabilité des solutions : Isosorbide dinitrate     
Contenant Solvant Concentration Température Conservation Durée de stabilité Bibliographie
Verre Chlorure de sodium 0,9% 0,095 mg/ml 21°C A l’abri de la lumière
24 Heure
350

Polyéthylène Chlorure de sodium 0,9% 0,02 mg/ml 22°C A l’abri de la lumière
24 Heure
1067
Niveau de preuve C

Polyéthylène Chlorure de sodium 0,9% 0,02 mg/ml 4°C A l’abri de la lumière
24 Heure
1067
Niveau de preuve C

Polyéthylène Chlorure de sodium 0,9% 0,095 mg/ml 21°C A l’abri de la lumière
24 Heure
350

Polyéthylène Glucose 5% 0,02 mg/ml 22°C A l’abri de la lumière
24 Heure
1067
Niveau de preuve C

Polyéthylène Glucose 5% 0,02 mg/ml 4°C A l’abri de la lumière
24 Heure
1067
Niveau de preuve C

Seringue polypropylène Chlorure de sodium 0,9% 0,6 mg/ml 2-8°C A l’abri de la lumière
28 Jour
4374
Niveau de preuve C+


  Mentions Légales