Son güncelleme :
17/12/2025
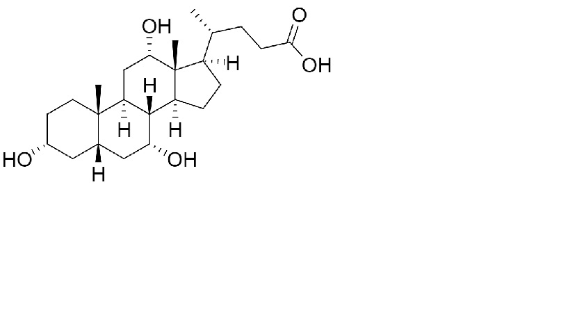
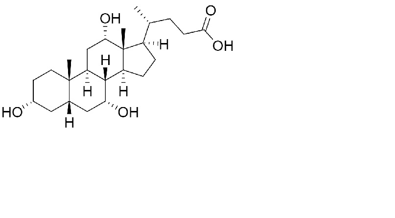
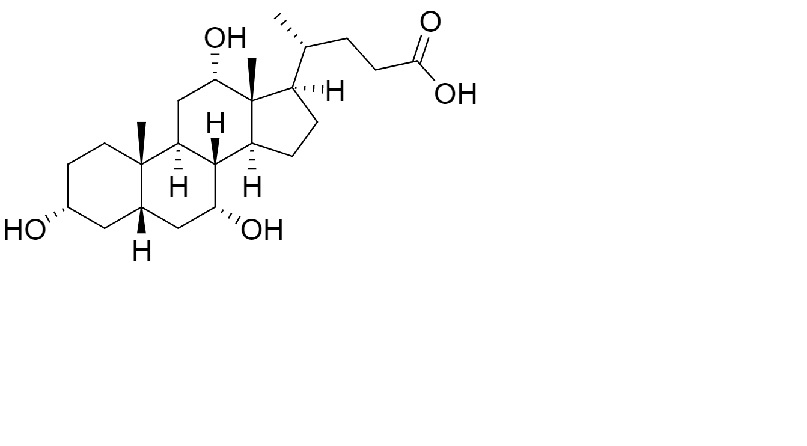
Çeşitli   Cholic acid  
Kapsül
Farmasötik preparatlar Kararlılığı Karışımlardaki stabilitesi Stabiliteyi etkileyen faktörler Uyumluluk Kaynaklar pdf
   Kimyasal yapı   

Kapsül
Uyumluluk   Kapsül   Uyumluluk : Cholic acid              
veri yok

  Mentions Légales