fermer
Pēdējā atjaunošana :
17/12/2025
Infostab
Saraksti
Kopsavilkums
Meklēt saderības
Y-savienojuma saderības tabula
Literatūras saraksts
pētniecības grupas
valistab
plakāts
Savienojumi
sponsori
Autori
Lietošanas instrukcija
Newsletter
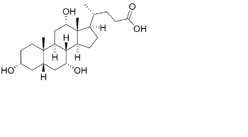
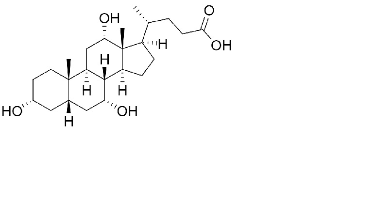
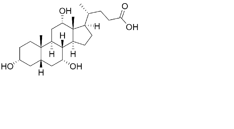
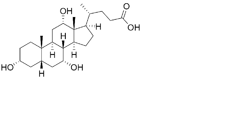
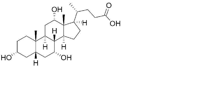
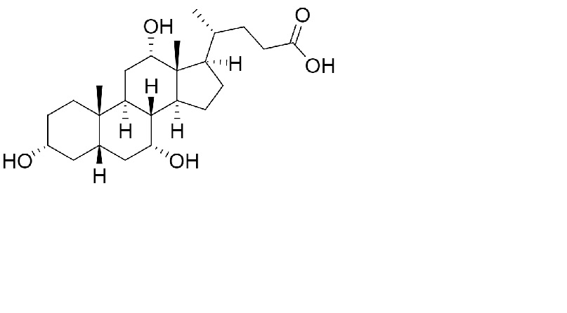
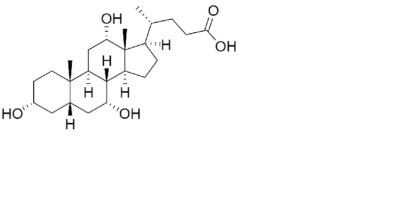
Cholic acid
Ķīmiskā uzbūve
Saderība : Cholic acid
Nav datu
Mentions Légales