fermer
Τελευταία ενημέρωση :
17/12/2025
Infostab
Καταστάσεις
Περίληψη καταλόγων
Αναζήτηση συμβατοτήτων
Πίνακας Συμβατότητας Υ κέντρου
Βιβλιογραφία
Ερευνητικές ομάδες
valistab
αφίσα
συνδέσεις
χορηγούς
Συγγραφείς
Οδηγίες χρήσης
Ενημερωτικό δελτίο
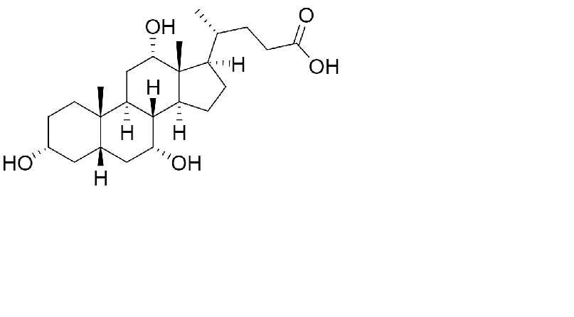
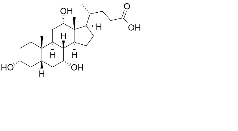
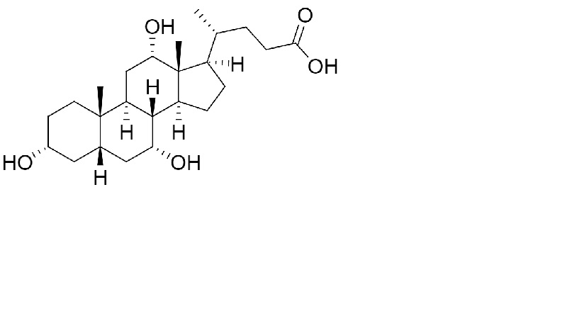
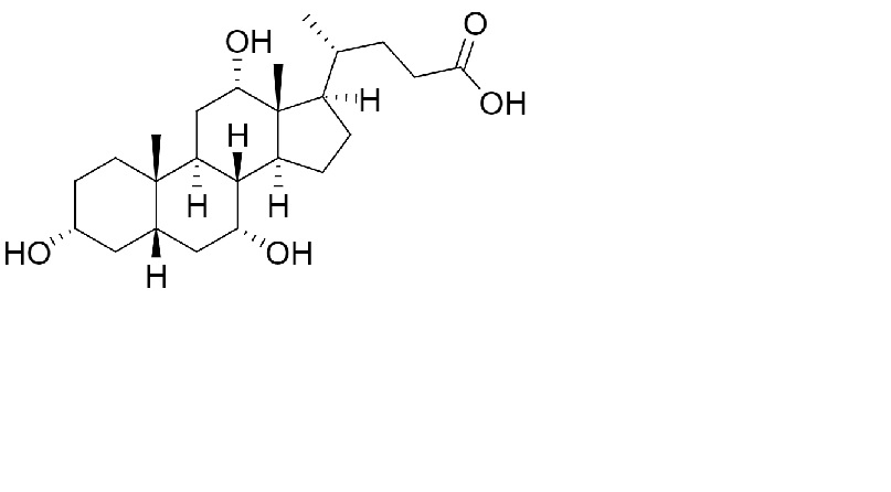
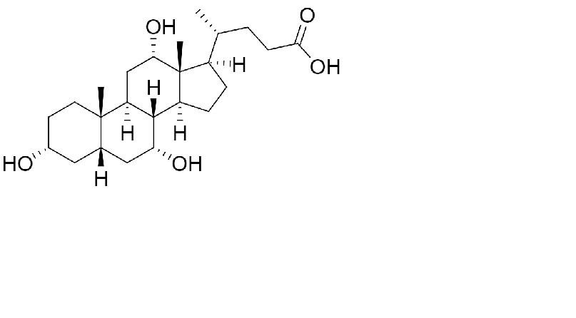
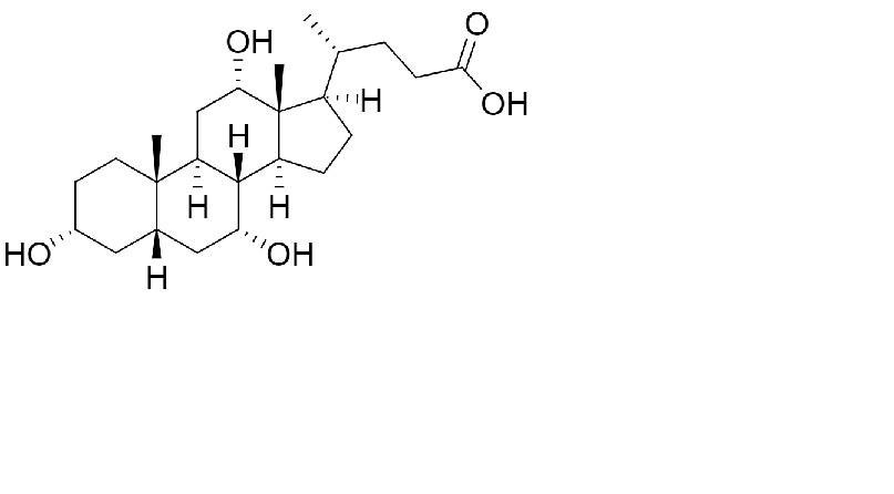
Cholic acid
χημική δομή
Συμβατότητες : Cholic acid
Δεν υπάρχουν πληροφορίες
Mentions Légales