Ultimele actualizari :
18/03/2026
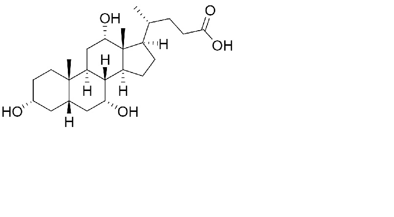
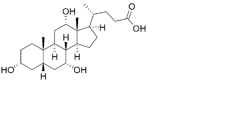
Diverse   Cholic acid  
Capsulă
Stabilitatea preparatelor farmaceutice Stabilitatea in amestec Factorii care influenteaza stabilitatea Compatibilitate Bibliografie pdf
   Formula chimica  

Capsulă
Compatibilitate   Capsulă   Compatibilitate : Cholic acid              
Absenta de date

  Mentions Légales