fermer
Poslední aktualizace :
17/12/2025
Infostab
Junginių sąrašas
Sąrašai
Ieškoti suderinamumo
Y formos suderinamumo lentelė
Bibliografija
Mokslinių tyrimų Komandos
valistab
plakatas
Jungtys
rėmėjai
Autorius
Naudojimo instrukcija
Biuletenį
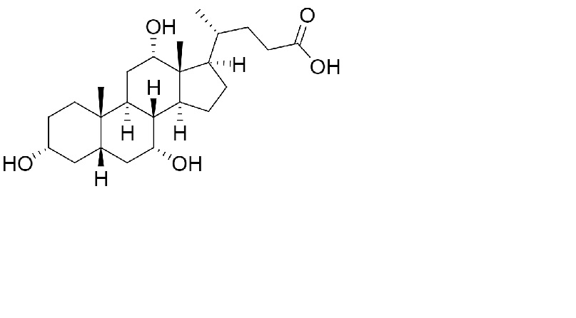
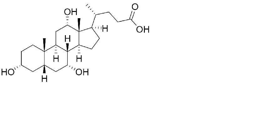
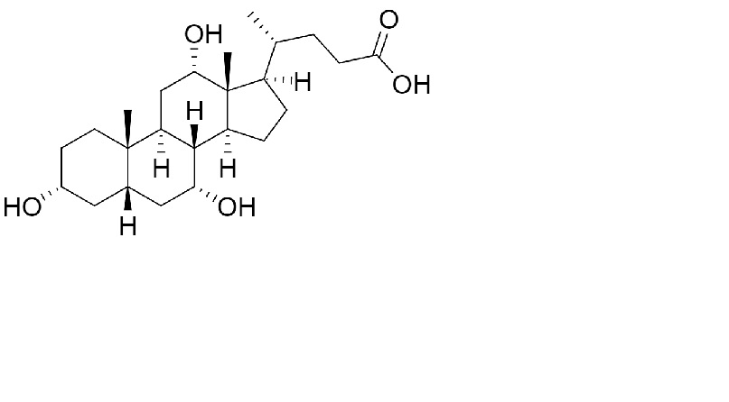
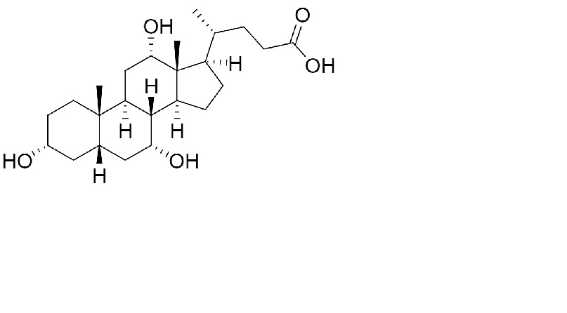
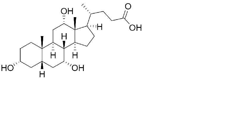
Cholic acid
Cheminė sandara
Suderinamumas : Cholic acid
Nėra duomenų
Mentions Légales