viimane versioon :
18/03/2026
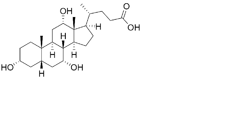
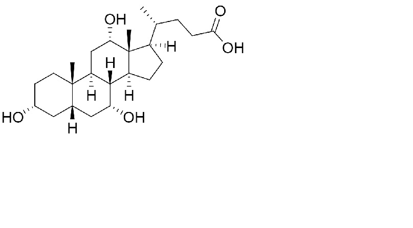
mitmesugune   Cholic acid  
kapsel
Stabiilsust ravimpreparaadid Stabiilsust mõjutavad tegurid stabiilsust mõjutavad faktorid Sobimatus Viited pdf
   keemiline struktuur  

kapsel
Sobimatus   kapsel   Sobimatus : Cholic acid              
andmed puuduvad

  Mentions Légales