Ostatnia aktualizacja :
18/03/2026
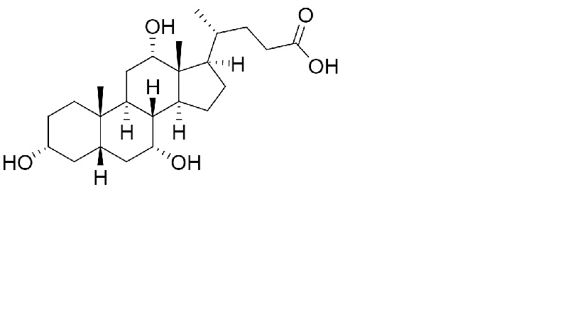
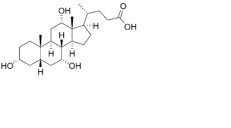
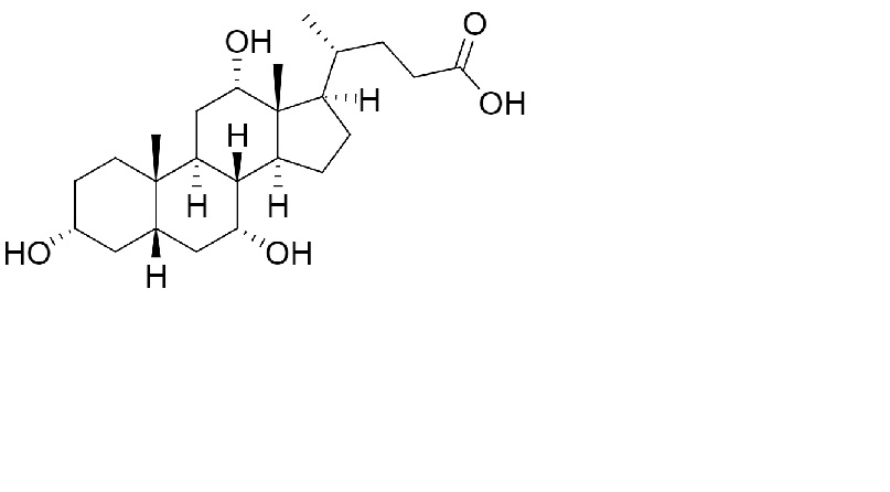
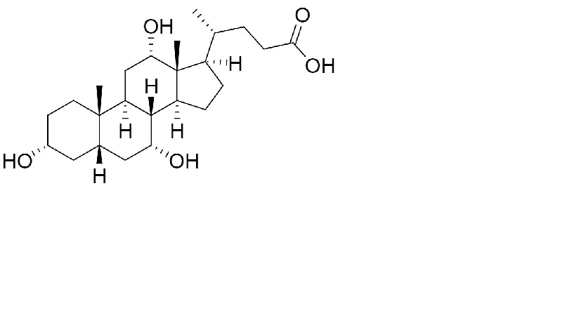
Różne   Cholic acid  
Kapsułka
Stabilność preparatów farmaceutycznych Trwałość w mieszaninie Czynnik wpływający na trwałość Zgodność Bibliografia pdf
   Struktura chemiczna  

Kapsułka
Zgodność   Kapsułka   Zgodność : Cholic acid              
Brak danych

  Mentions Légales