最新更新 :
18/03/2026
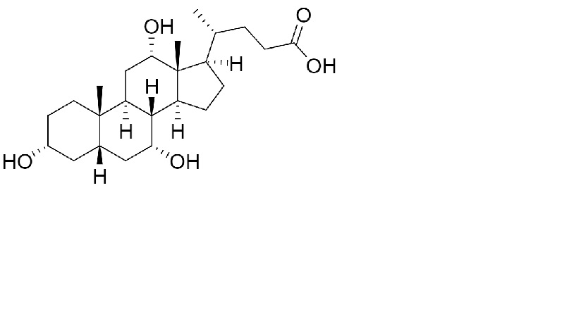
其它   Cholic acid  
胶囊
制剂的稳定性 混合物稳定性 影响稳定性的因素 兼容性 引用文献 PDF
   化学式  

胶囊
兼容性   胶囊   兼容性 : Cholic acid              
无数据

  Mentions Légales