Siste oppdatering :
12/12/2025
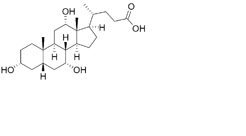
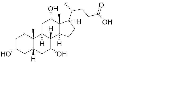
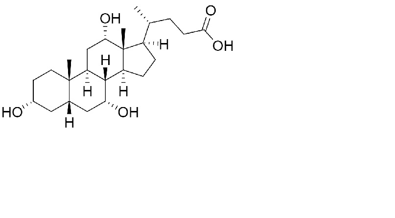
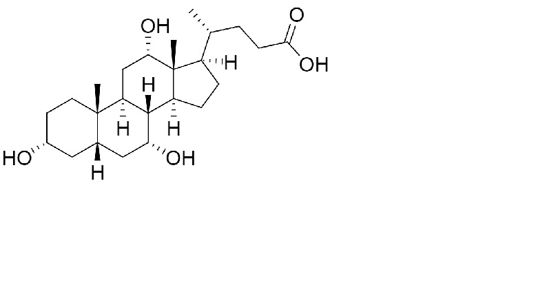
Forskjellig   Cholic acid  
Kapsel
Stabilitet av farmasøytiske preparater Stabilitet i blandinger Faktorer som påvirker stabiliteten Kompatibilitet Referanser pdf
   Kjemisk struktur  

Kapsel
Kompatibilitet   Kapsel   Kompatibilitet : Cholic acid              
Ingen opplysninger

  Mentions Légales