Last update :
18/03/2026
Various   Cholic acid  
Capsule
Stability of pharmaceutical preparations Stability of mixtures Factors which affect stability Compatibility References pdf
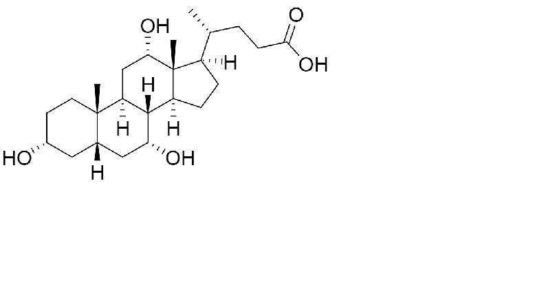
   Chemical structure  

Capsule
Compatibility   Capsule   Compatibility : Cholic acid              
No data

  Mentions Légales