fermer
Poslední aktualizace :
16/12/2025
Infostab
Seznamy
Seznamy shrnutí
Hledat kompatibility
Tabulka kompatibility správy Y
Odkazy
výzkumné týmy
valistab
plakát
Připojení
sponzoři
Autor
Uživatelská příručka
Newsletter
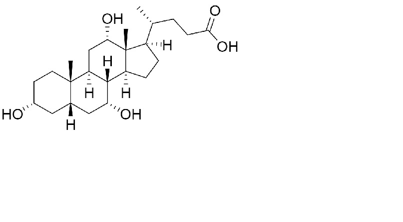
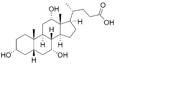
Cholic acid
Chemický vzorec
Kompatibilita : Cholic acid
žádná data
Mentions Légales