Zadnji put ažurirano :
27/11/2025
protuvirusan   Ganciclovir  
kapi za oko
Stabilnost farmaceutskih pripravaka Stabilnost mješavine Stabilizacijski faktor Kompatibilnosti Bibliografija pdf
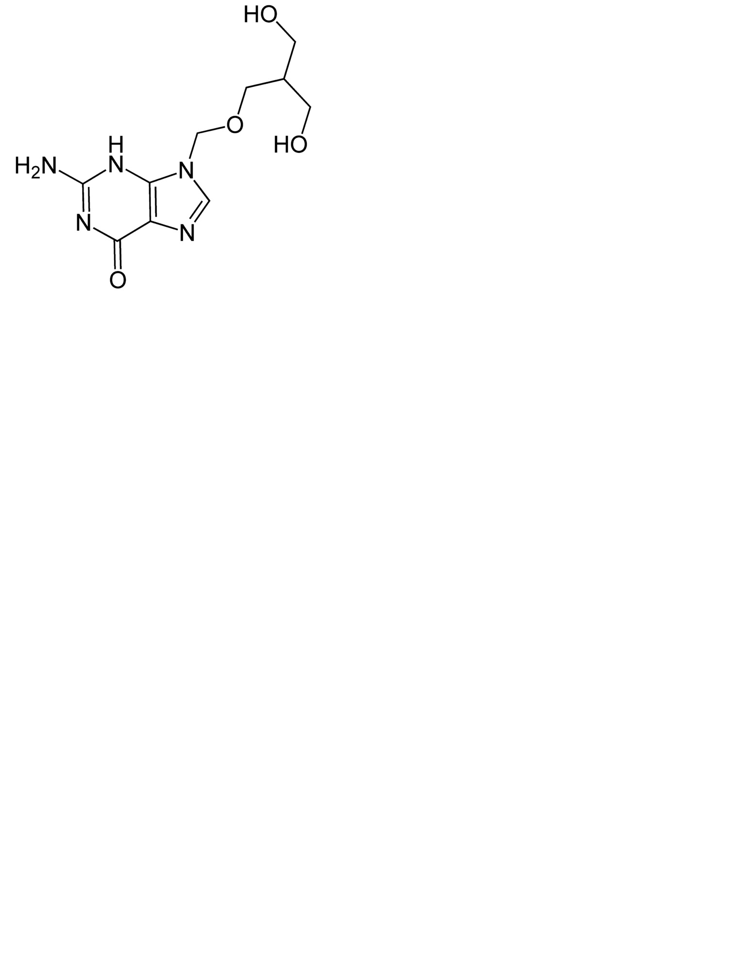
   Kemijska struktura  

kapi za oko
Stabilnost mješavine   kapi za oko   Stabilnost mješavine : Ganciclovir     
bez podataka

  Mentions Légales