最新更新 :
27/11/2025
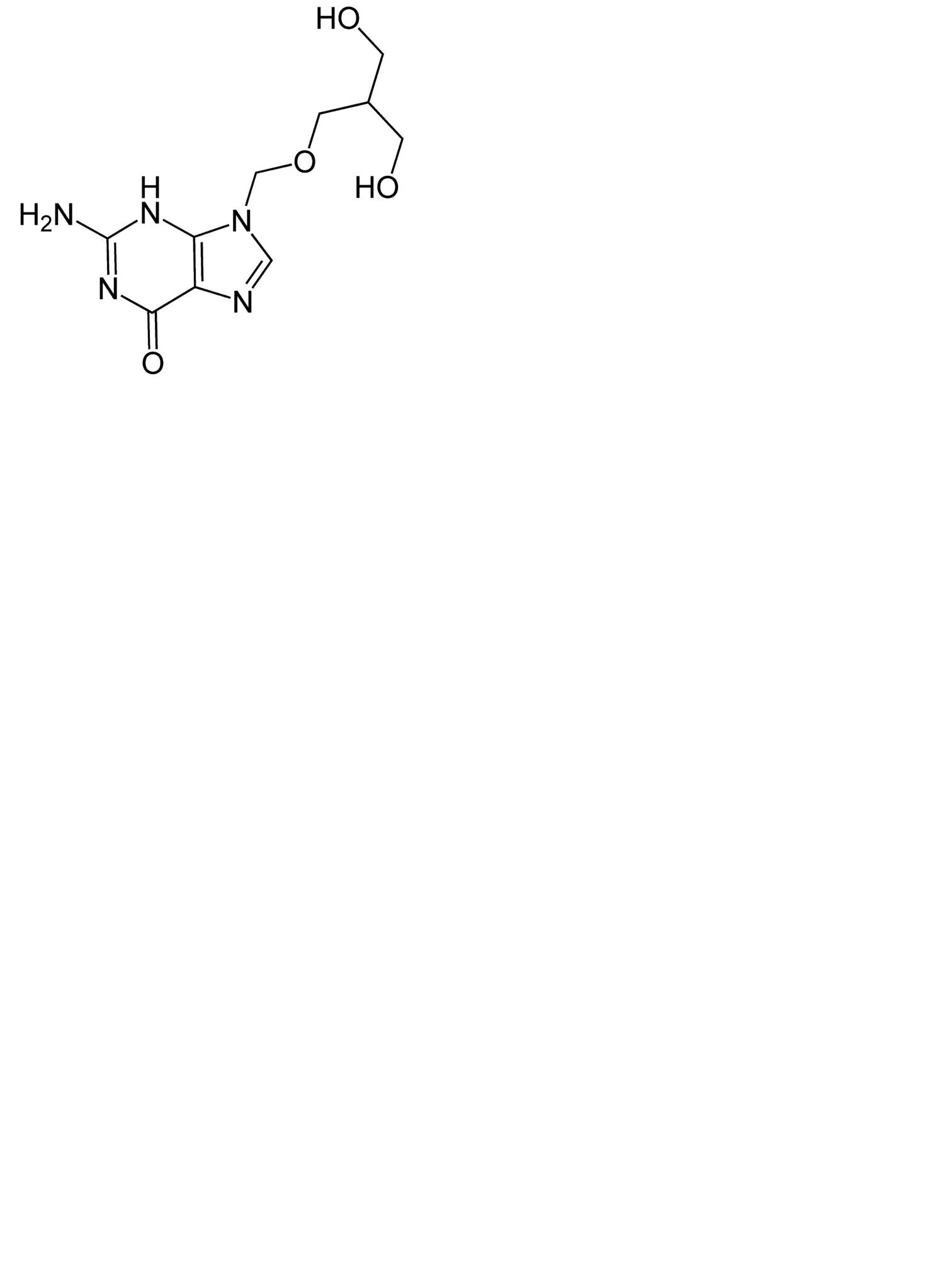
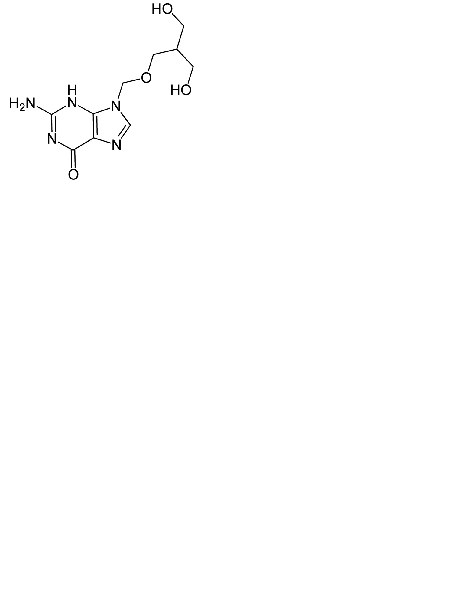
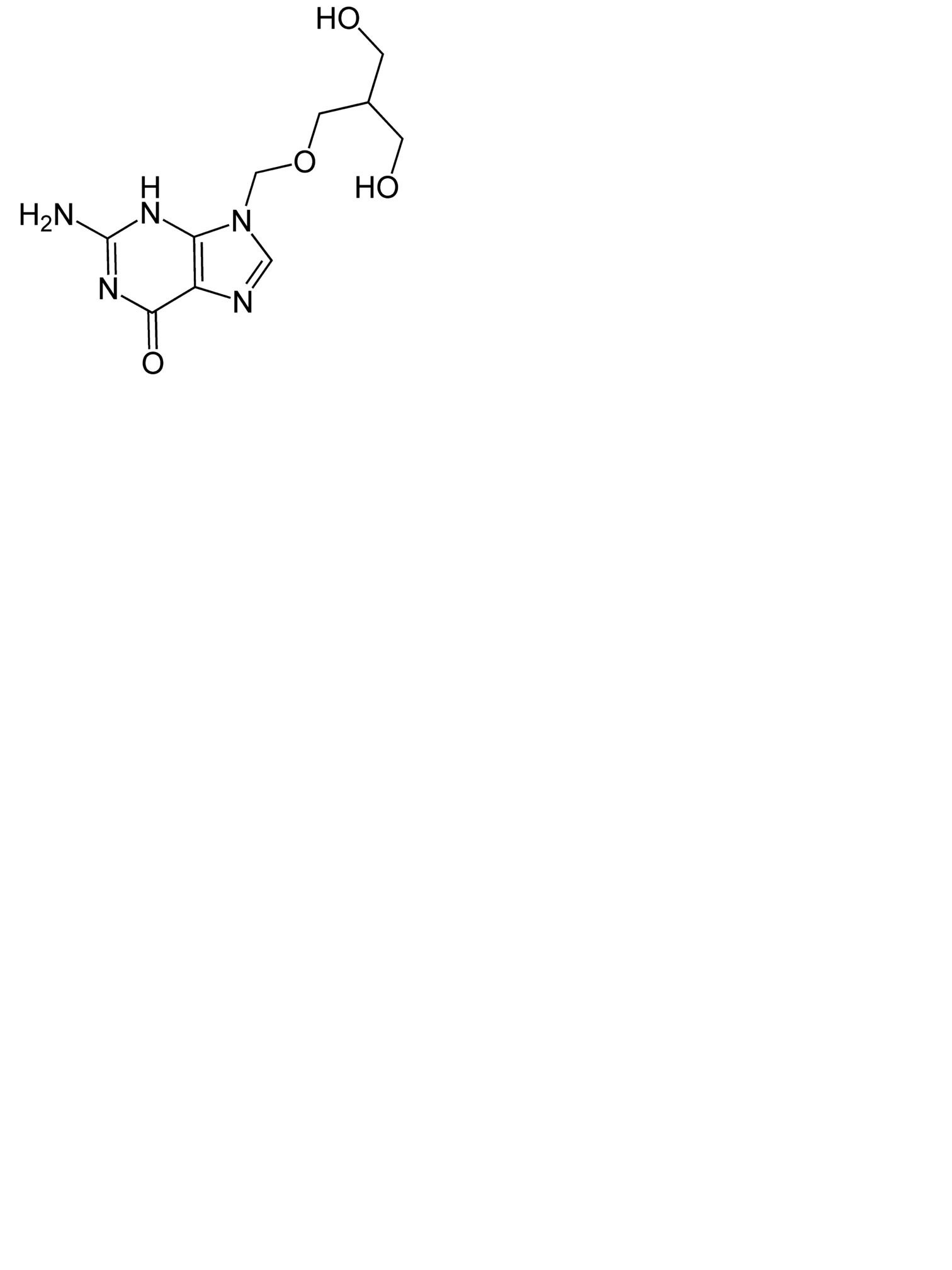
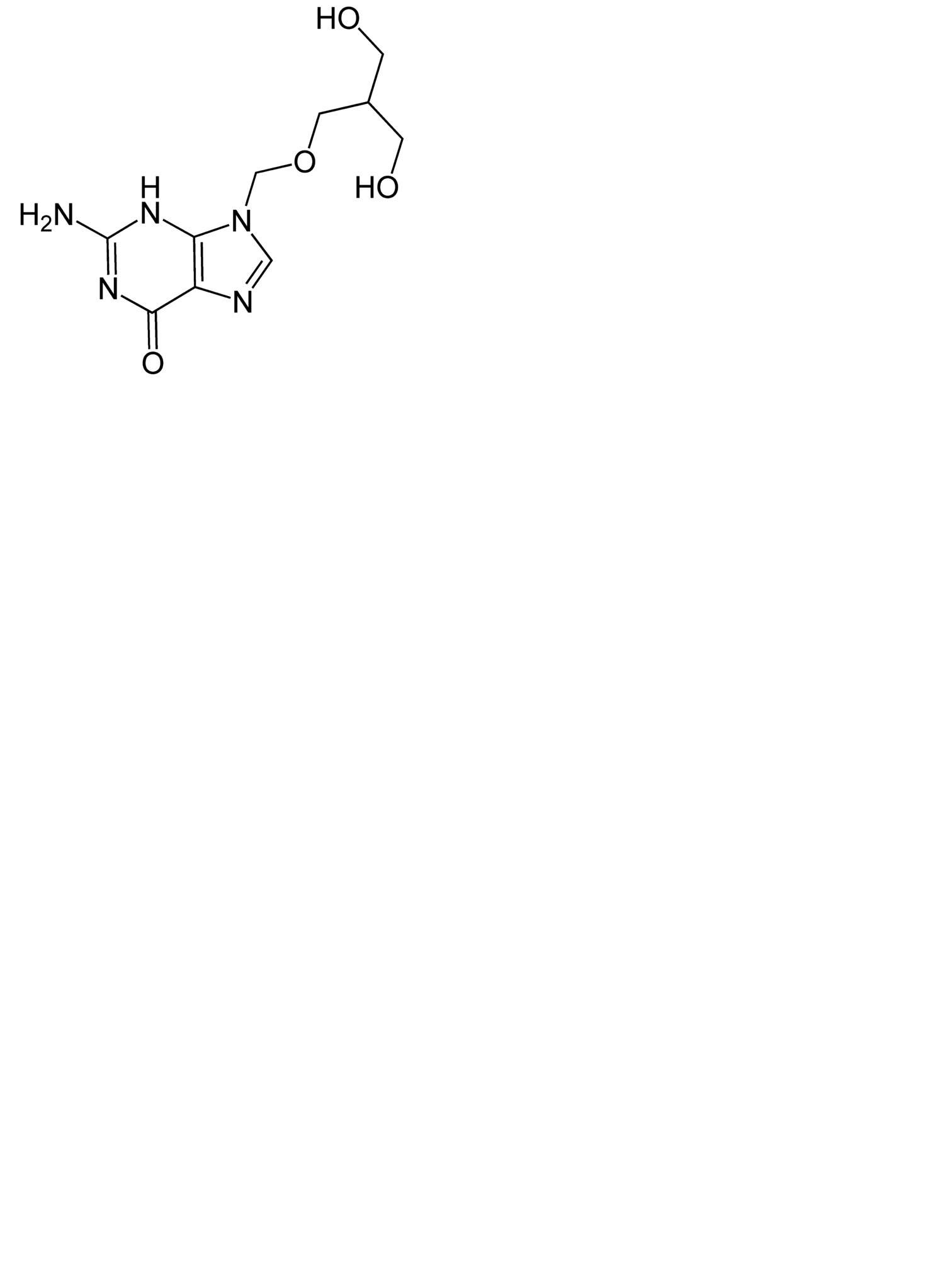
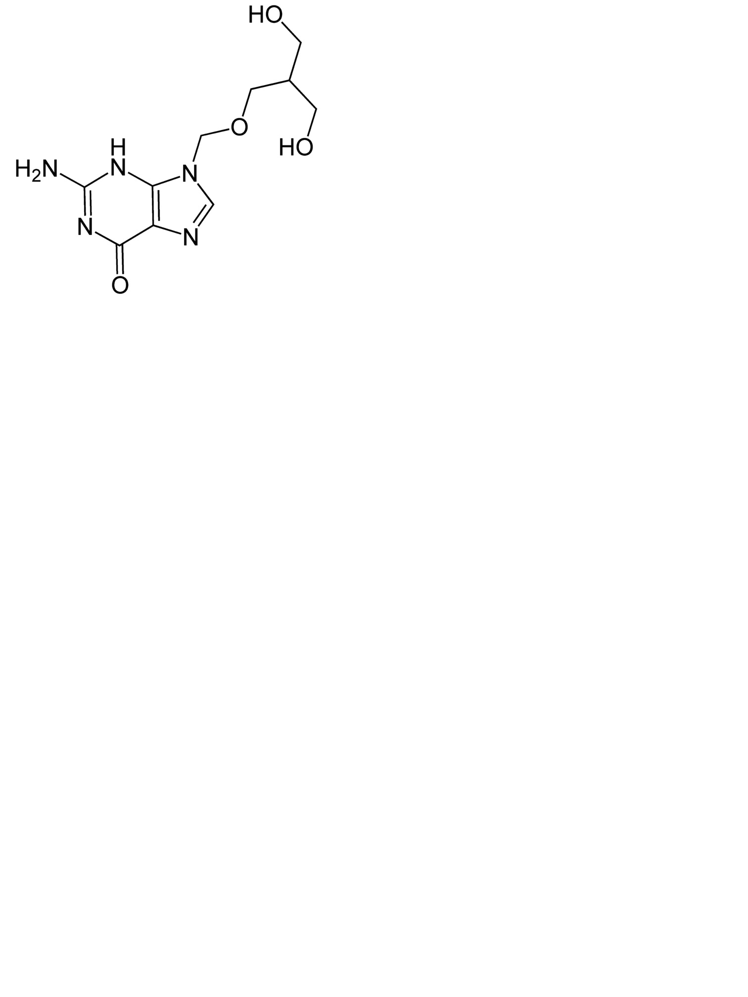
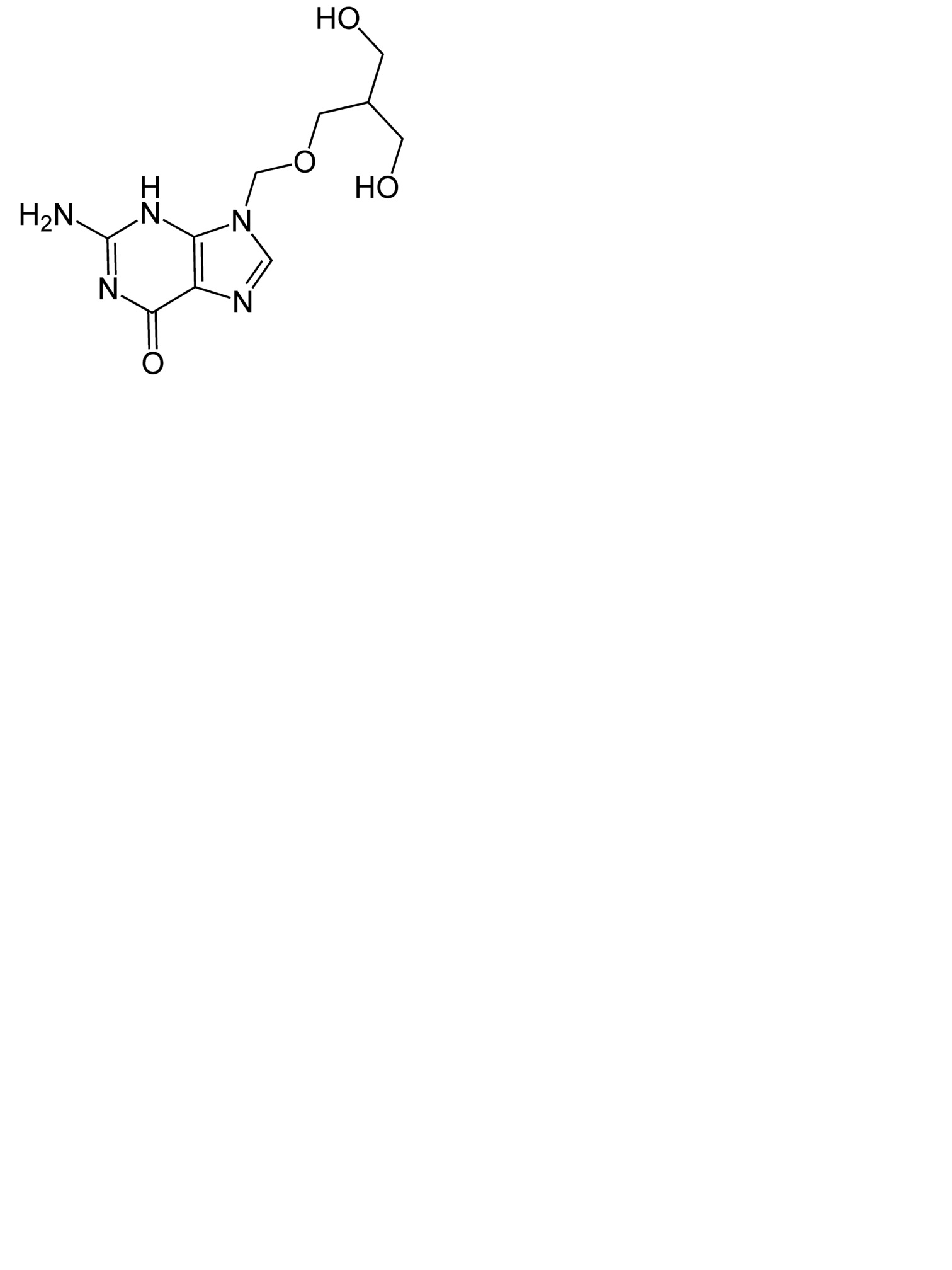
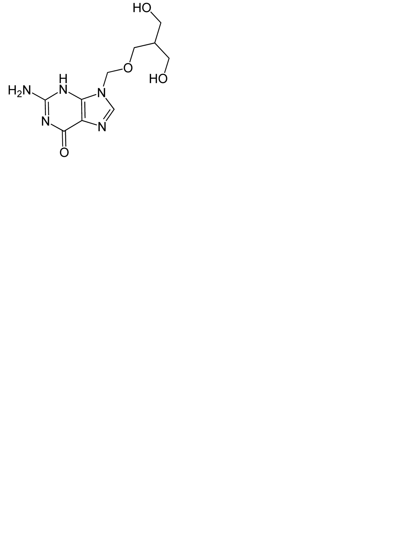
抗病毒药   Ganciclovir  
眼药水
制剂的稳定性 混合物稳定性 影响稳定性的因素 兼容性 引用文献 PDF
   化学式  

眼药水
混合物稳定性   眼药水   混合物稳定性 : Ganciclovir     
无数据

  Mentions Légales