Poslední aktualizace :
31/03/2026
Priešvirusinis vaistas   Ganciclovir  
Akių lašai
Stabilumas farmacinių preparatų Mišinių stabilumas Stabilumą lemiantys veiksniai Suderinamumas Bibliografija pdf
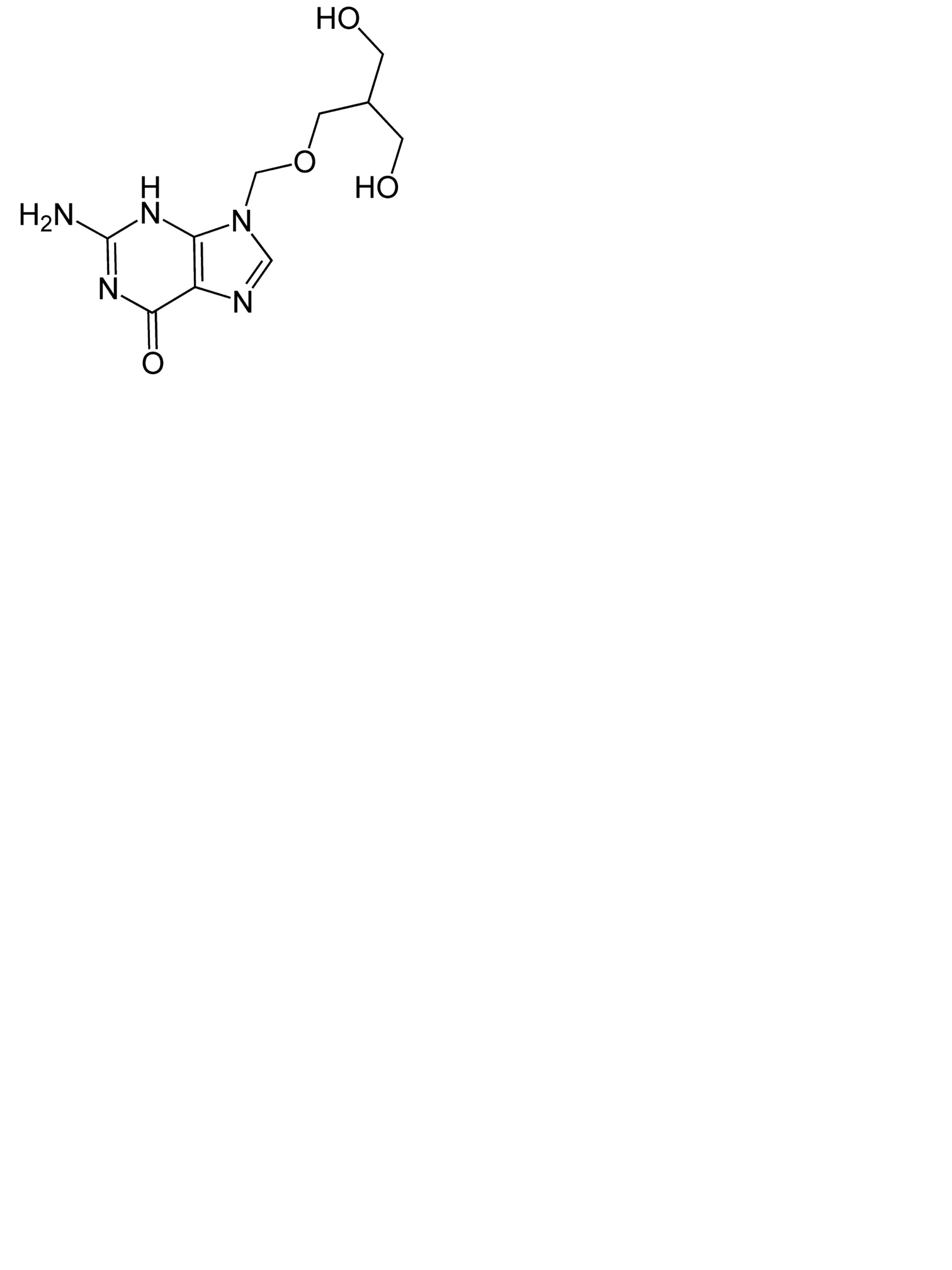
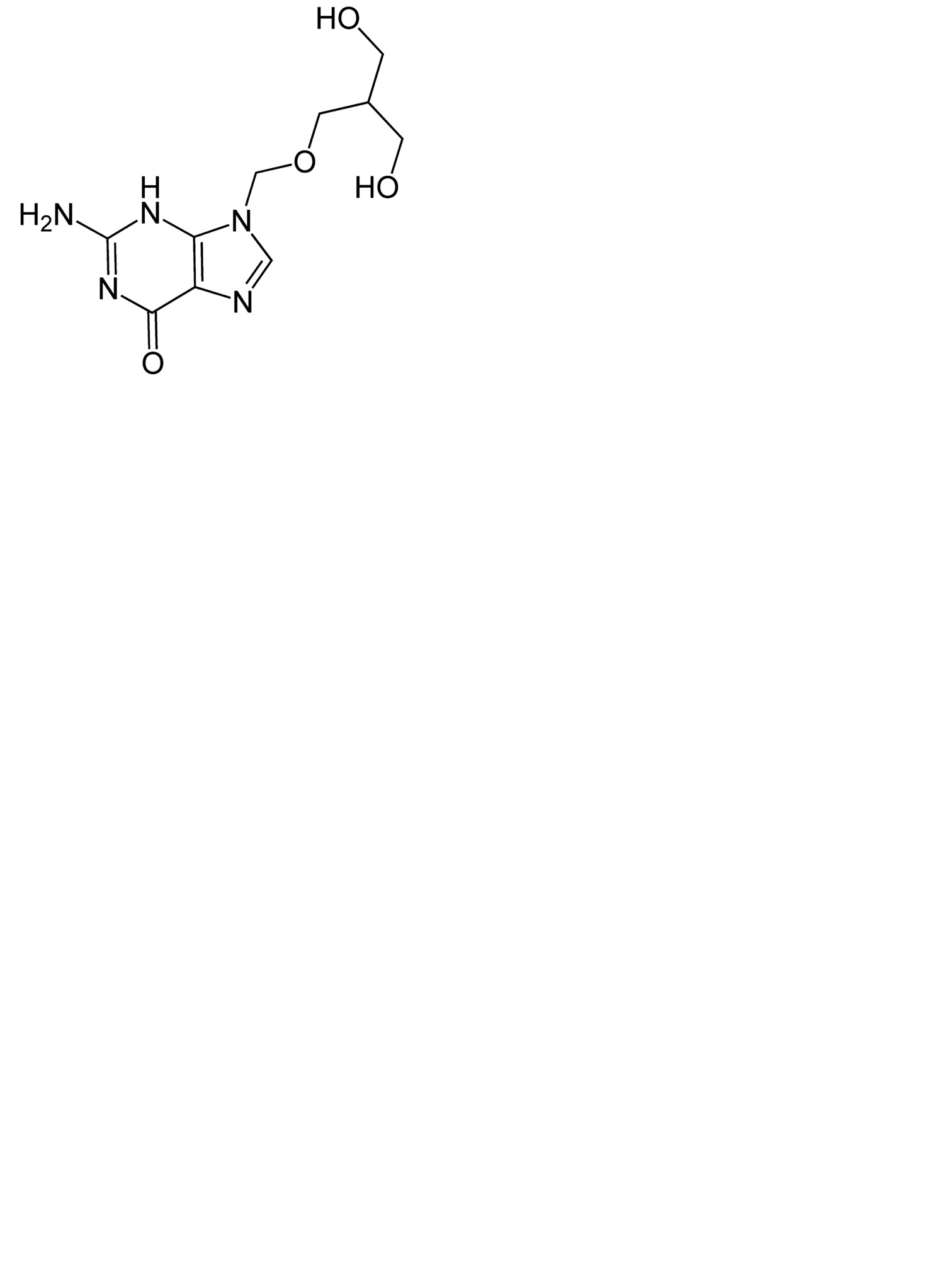
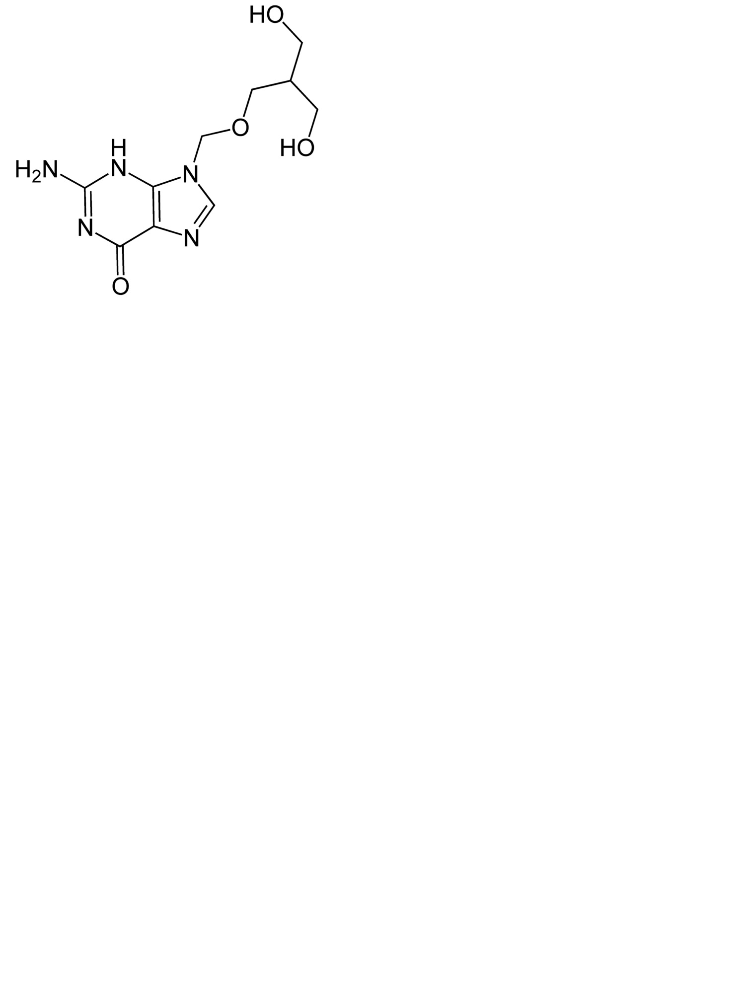
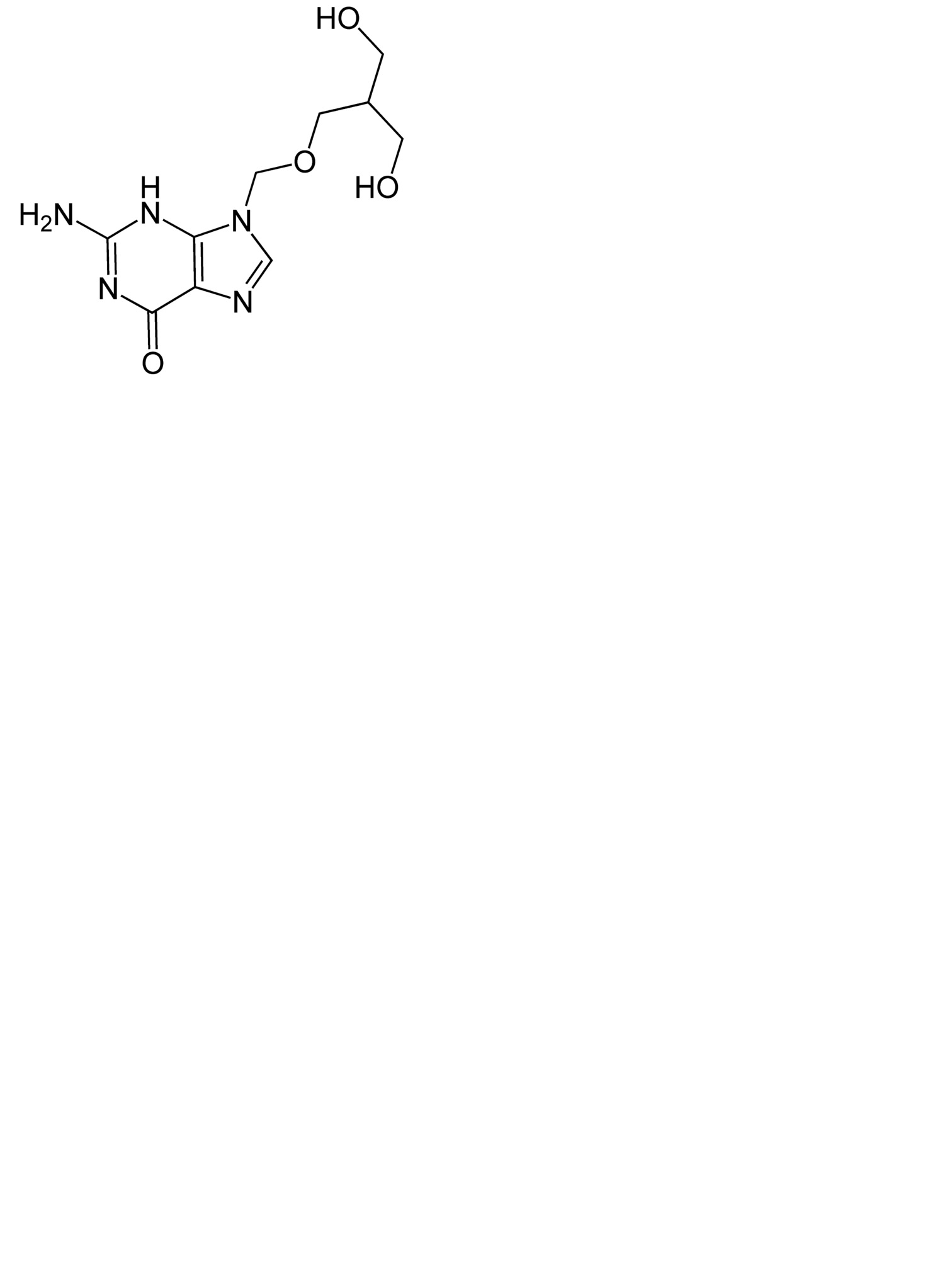
   Cheminė sandara  

Akių lašai
Mišinių stabilumas   Akių lašai   Mišinių stabilumas : Ganciclovir     
Nėra duomenų

  Mentions Légales