Последно актуализиране :
27/11/2025
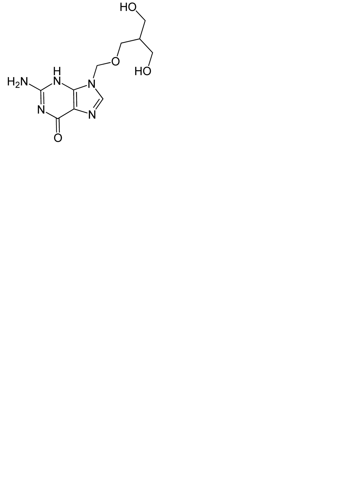
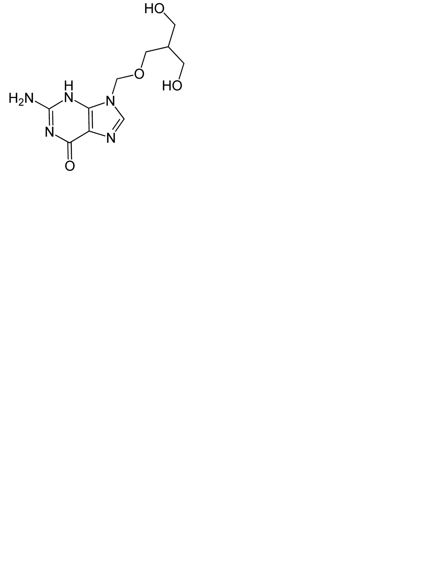
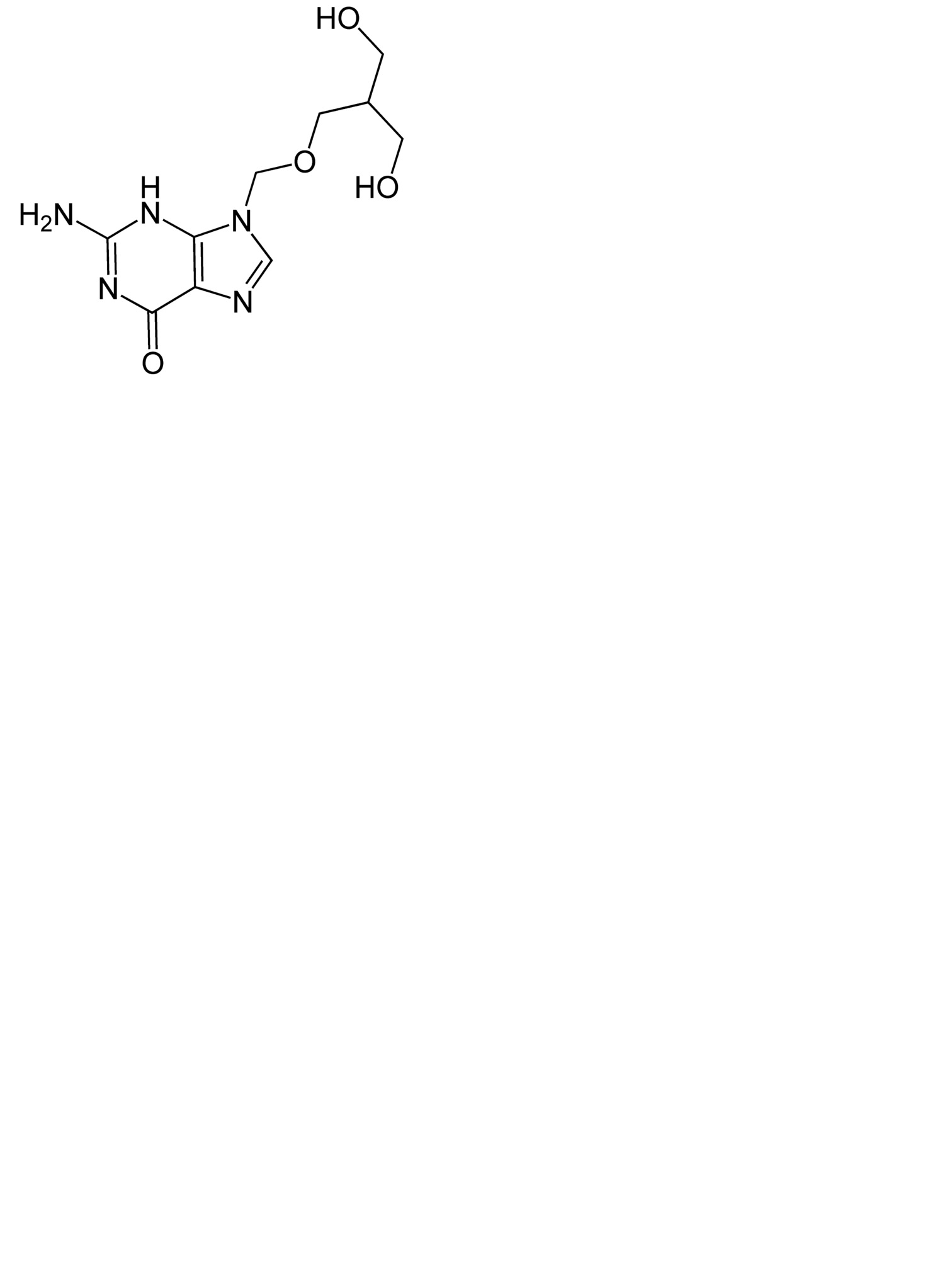
Противовирусно средство   Ganciclovir  
Капки за очи
Стабилност на лекарствени препарати Стабилност на смеси Фактори, повлияващи стабилността Съвместимост Библиография Pdf
   Химична структура  

Капки за очи
Стабилност на смеси   Капки за очи   Стабилност на смеси : Ganciclovir     
Няма данни

  Mentions Légales